This article was co-authored by David Jia. David Jia is an Academic Tutor and the Founder of LA Math Tutoring, a private tutoring company based in Los Angeles, California. With over 10 years of teaching experience, David works with students of all ages and grades in various subjects, as well as college admissions counseling and test preparation for the SAT, ACT, ISEE, and more. After attaining a perfect 800 math score and a 690 English score on the SAT, David was awarded the Dickinson Scholarship from the University of Miami, where he graduated with a Bachelor’s degree in Business Administration. Additionally, David has worked as an instructor for online videos for textbook companies such as Larson Texts, Big Ideas Learning, and Big Ideas Math.
There are 8 references cited in this article, which can be found at the bottom of the page.
This article has been viewed 589,083 times.
Learning how to simplify algebraic expressions is a key part of mastering basic algebra and an extremely valuable tool for all mathematicians to have under their belt. Simplification allows a mathematician to change a complex, long, and/or awkward expression into a simpler or more convenient one that's equivalent. Basic simplification skills are fairly easy to learn - even for the math-averse. By following a few simple steps it is possible to simplify many of the most common types of algebraic expressions without any sort of special mathematical knowledge at all. See Step 1 below to begin!
Steps
Understanding Important Concepts
-
1Define "like terms" by their variables and powers. In algebra, "like terms" have the same configuration of variables, raised to the same powers. In other words, for two terms to be "like", they must have the same variable or variables, or none at all, and each variable must be raised to the same power, or no power at all. The order of variables within the term does not matter.[1]
- For example, 3x2 and 4x2 are like terms because each contains the variable x raised to the second power. However, x and x2 are not like terms because each term has x raised to a different power. Similarly, -3yx and 5xz are not like terms because each term has a different set of variables.
-
2Factor by writing numbers as the product of two factors. Factoring is the concept of representing a given number as the product of two factors multiplied together. Numbers can have more than one set of factors - for instance, the number 12 can be formed by 1 × 12, 2 × 6, and 3 × 4, so we can say that 1, 2, 3, 4, 6, and 12 are all factors of 12. Another way of thinking of this is that a number's factors are the numbers by which it is evenly divisible.[2]
- For example, if we wanted to factor 20, we might write it as 4 × 5.
- Note that variable terms can also be factored - 20x, for instance, can be written as 4(5x).
- Prime numbers can't be factored because they are only evenly divisible by themselves and 1.
Advertisement -
3Use the acronym PEMDAS to remember the order of operations. Sometimes, simplifying an expression means nothing more than performing the operations in the expression until no more can be done. In these cases, it's important to remember the order of operations so that no arithmetic errors are made. The acronym PEMDAS can help you remember the order of operations - the letters correspond to the types of operations you should perform, in order. If there is multiplication and division in the same problem, you must complete those operations from left to right when you get to that point. The same goes for addition and subtraction. The image above gives the incorrect answer. The last step did not work the addition and subtraction from left to right. It did the addition first. It should show 25-20 = 5 and then 5 + 6 = 11.
- Parentheses
- Exponents
- Multiplication
- Division
- Addition
- Subtraction
Combining Like Terms
-
1Write your equation. The simplest algebraic equations, those involving just a few variable terms with whole number coefficients and no fractions, radicals, etc., can often be solved in just a few steps. As with most math problems, the first step to simplifying your equation is to write it out![3]
- As an example problem, for the next few steps, let's consider the expression 1 + 2x - 3 + 4x.
-
2Identify like terms. Next, search your equation for like terms. Remember that like terms have both the same variable(s) and exponent(s).
- For example, let's identify like terms in our equation 1 + 2x - 3 + 4x. 2x and 4x both have the same variable raised to the same exponent (in this case, the x's aren't raised to any exponent at all). In addition, 1 and -3 are like terms, as neither has any variables. So, in our equation, 2x and 4x and 1 and -3 are like terms.
-
3Combine like terms. Now that you've identified like terms, you can combine them to simplify your equation. Add terms together (or subtract in the case of negative terms) to reduce each set of terms with the same variables and exponents to one singular term.[4]
- Let's add the like terms in our example.
- 2x + 4x = 6x
- 1 + -3 = -2
- Let's add the like terms in our example.
-
4Create a simplified expression from your simplified terms. After combining your like terms, construct an expression from your new, smaller set of terms. You should get a simpler expression that has one term for each different set of variables and exponents in the original expression. This new expression is equal to the first.
- In our example, our simplified terms are 6x and -2, so our new expression is 6x - 2. This simplified expression is equal to the original (1 + 2x - 3 + 4x), but is shorter and easier to manage. It's also easier to factor, which, as we'll see below, is another important simplifying skill.
-
5Obey the order of operation when combining like terms. In extremely simple expressions like the one dealt with in the example problems above, identifying like terms is simple. However, in more complex expressions, like ones that involve terms in parentheses, fractions, and radicals, like terms which can be combined may not be immediately apparent. In these cases, follow the order of operations, performing operations on the terms in your expression as necessary until only addition and subtraction operations remain.[5]
- For example, let's consider the equation 5(3x-1) + x((2x)/(2)) + 8 - 3x. It would be incorrect to immediately identify 3x and 2x as like terms and combine them because the parentheses in the expression dictate that we're supposed to do other operations first. First, let's perform the arithmetic operations in the expression in accordance with the order of operations to obtain terms we can use. See below:
- 5(3x-1) + x((2x)/(2)) + 8 - 3x
- 15x - 5 + x(x) + 8 - 3x
- 15x - 5 + x2 + 8 - 3x. Now, since the only operations left are addition and subtraction, we can combine like terms.
- x2 + (15x - 3x) + (8 - 5)
- x2 + 12x + 3
- For example, let's consider the equation 5(3x-1) + x((2x)/(2)) + 8 - 3x. It would be incorrect to immediately identify 3x and 2x as like terms and combine them because the parentheses in the expression dictate that we're supposed to do other operations first. First, let's perform the arithmetic operations in the expression in accordance with the order of operations to obtain terms we can use. See below:
Factoring
-
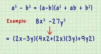
1Identify the greatest common factor in the expression. Factoring is a way to simplify expressions by removing factors that are common across all the terms in the expression. To start, find the greatest common factor that all of the terms in the expression share - in other words, the largest number by which all the terms in the expression are evenly divisible.
- Let's use the equation 9x2 + 27x - 3. Notice that every term in this equation is divisible by 3. Since the terms aren't all evenly divisible by any larger number, we can say that 3 is our expression's greatest common factor.
-
2Divide the terms in the expression by the greatest common factor. Next, divide every term in your equation by the greatest common factor you've just found. The resulting terms will all have smaller coefficients than in the original expression.
- Let's factor our equation by its greatest common factor, 3. To do so, we'll divide each term by 3.
- 9x2/3 = 3x2
- 27x/3 = 9x
- -3/3 = -1
- Thus, our new expression is 3x2 + 9x - 1.
- Let's factor our equation by its greatest common factor, 3. To do so, we'll divide each term by 3.
-
3Represent your expression as the product of the greatest common factor and the remaining terms. Your new expression isn't equal to your old one, so it isn't accurate to say that it's simplified. To make our new expression equal to the old one, we'll need to account for the fact that it has been divided by the greatest common factor. Enclose your new expression in parentheses and set the greatest common factor of the original equation as a coefficient for the expression in parentheses.
- For our example expression, 3x2 + 9x - 1, we would enclose the expression in parentheses and multiply by the greatest common factor of the original equation to get 3(3x2 + 9x - 1). This equation is equal to the original, 9x2 + 27x - 3.
-
4Use factoring to simplify fractions. You may now be wondering why factoring is useful if, after removing the greatest common factor, the new expression must be multiplied by it again. In fact, factoring allows a mathematician to perform a variety of tricks to simplify an expression. One of the easiest of these involves taking advantage of the fact that multiplying a fraction's numerator and denominator by the same number gives an equivalent fraction. See below:
- Let's say our original example expression, 9x2 + 27x - 3, is the numerator of a larger fraction with 3 in the denominator. This fraction would look like this: (9x2 + 27x - 3)/3. We can use factoring to simplify this fraction.
- Let's substitute the factored form of our original expression for the expression in the numerator: (3(3x2 + 9x - 1))/3
- Notice that now, both the numerator and the denominator share the coefficient 3. Dividing the numerator and denominator by 3, we get: (3x2 + 9x - 1)/1.
- Since any fraction with "1" in the denominator is equal to the terms in the numerator, we can say that our original fraction can be simplified to 3x2 + 9x - 1.
- Let's say our original example expression, 9x2 + 27x - 3, is the numerator of a larger fraction with 3 in the denominator. This fraction would look like this: (9x2 + 27x - 3)/3. We can use factoring to simplify this fraction.
Applying Additional Simplification Skills
-
1Simplify fractions by dividing through by common factors. As noted above, if the numerator and denominator of an expression share factors, these factors can be removed from the fraction entirely. Sometimes this will require factoring the numerator, denominator, or both (as was the case in the example problem above) while other times the shared factors are immediately apparent. Note that it is also possible to divide the numerator terms by the expression in the denominator individually to obtain a simplified expression.[6]
- Let's tackle an example that doesn't necessarily require drawn-out factoring. For the fraction (5x2 + 10x + 20)/10, we may want to divide every term in the numerator by the 10 in the denominator to simplify, even though the "5" coefficient in 5x2 isn't bigger than 10 and thus can't have 10 as a factor.
- Doing so gets us ((5x2)/10) + x + 2. If we like, we may want to rewrite the first term as (1/2)x2 to get (1/2)x2 + x + 2.
- Let's tackle an example that doesn't necessarily require drawn-out factoring. For the fraction (5x2 + 10x + 20)/10, we may want to divide every term in the numerator by the 10 in the denominator to simplify, even though the "5" coefficient in 5x2 isn't bigger than 10 and thus can't have 10 as a factor.
-
2Use square factors to simplify radicals. Expressions under a square root sign are called radical expressions. These can be simplified by identifying square factors (factors that are themselves squares of an integer) and performing the square root operation on these separately to remove them from under the square root sign.[7]
- Let's tackle a simple example - √(90). If we think of the number 90 as the product of two of its factors, 9 and 10, we can take the square root of 9 to give the whole number 3 and remove this from the radical. In other words:
- √(90)
- √(9 × 10)
- (√(9) × √(10))
- 3 × √(10)
- 3√(10)
- Let's tackle a simple example - √(90). If we think of the number 90 as the product of two of its factors, 9 and 10, we can take the square root of 9 to give the whole number 3 and remove this from the radical. In other words:
-
3Add exponents when multiplying two exponential terms; subtract when dividing. Some algebraic expressions require multiplying or dividing exponential terms. Rather than computing each exponential term and multiplying or dividing manually, simply add exponents when multiplying and subtract when dividing to save time. This concept can also be used to simplify variable expressions.[8]
- For example, let's consider the expression 6x3 × 8x4 + (x17/x15). In each occasion where it's necessary to multiply or divide by exponents, we'll subtract or add the exponents, respectively, to quickly find a simplified term. See below:
- 6x3 × 8x4 + (x17/x15)
- (6 × 8)x3 + 4 + (x17 - 15)
- 48x7 + x2
- For an explanation of why this works, see below:
- Multiplying exponential terms is essentially like multiplying long strings of non-exponential terms. For example, since x3 = x × x × x and x 5 = x × x × x × x × x, x3 × x5 = (x × x × x) × (x × x × x × x × x), or x8.
- Similarly, dividing exponential terms is like dividing long strings of non-exponential terms. x5/x3 = (x × x × x × x × x)/(x × x × x). Since each term in the numerator can be canceled out by a matching term in the denominator, we're left with two x's in the numerator and none in the bottom, giving us an answer of x2
- For example, let's consider the expression 6x3 × 8x4 + (x17/x15). In each occasion where it's necessary to multiply or divide by exponents, we'll subtract or add the exponents, respectively, to quickly find a simplified term. See below:
Community Q&A
-
QuestionWhich sign do I solve first? (+-/*)
Community AnswerTo simplify algebraic expressions, the acronym PEMDAS is commonly used. It stands for Parentheses, Exponents, Multiplication, Division, Addition. and Subtraction. You do these operations in the order they appear. So first, you do what is in the parenthesis. Then, you calculate the exponents. Then you do multiplication and division, then finally, you add and subtract. -
QuestionWhat is the simplification of (-3a2b2)(4a5b3)?
DonaganTop AnswererSimplify by multiplying like terms together: (-3)(4) = -12. (a^2)(a^5) = a^7. (b^2)(b^3) = b^5. The final product is -12a^7b^5. -
QuestionHow do I work out p to power of 2 -9 divided by 2p + 6?
DonaganTop Answerer(p² - 9) is the difference of squares and factors to (p + 3)(p - 3). (2p + 6) factors to 2(p + 3). (p² - 9) / (2p + 6) = (p + 3)(p - 3) / 2(p + 3) = (p - 3) / 2.
Warnings
- Always look for like terms and don't get tricked by exponents.⧼thumbs_response⧽
- Make sure you haven't accidentally added in some extra number, exponent, or operation that doesn't belong.⧼thumbs_response⧽
References
- ↑ http://www.webmath.com/liketerms.html
- ↑ https://www.mathsisfun.com/algebra/factoring.html
- ↑ https://www.softschools.com/math/topics/combining_like_terms/
- ↑ https://www.mathwarehouse.com/algebra/like-terms/how-to-combine-like-terms-in-math.php
- ↑ https://www.freemathhelp.com/combining-like-terms.html
- ↑ https://www.bbc.com/bitesize/guides/zwv9y4j/revision/1
- ↑ https://mathbitsnotebook.com/Algebra1/Radicals/RADSimplifyingRadicals.html
- ↑ https://www.montereyinstitute.org/courses/DevelopmentalMath/TEXTGROUP-9-14_RESOURCE/U11_L1_T2_text_final.html
About This Article
To simplify algebraic expressions, start by identifying the like terms, which are terms that have the same variables and exponents. Then, combine the like terms by adding them together to get the simplified expression. You can also simplify the expression further by finding the greatest common factor and then dividing all of the terms in the expression by that number. After you've done that, put the expression in parentheses with the greatest common factor on the outside. To learn more ways you can simplify algebraic expressions, scroll down!



























































