This article was co-authored by Jake Adams. Jake Adams is an academic tutor and the owner of Simplifi EDU, a Santa Monica, California based online tutoring business offering learning resources and online tutors for academic subjects K-College, SAT & ACT prep, and college admissions applications. With over 14 years of professional tutoring experience, Jake is dedicated to providing his clients the very best online tutoring experience and access to a network of excellent undergraduate and graduate-level tutors from top colleges all over the nation. Jake holds a BS in International Business and Marketing from Pepperdine University.
This article has been viewed 2,366,024 times.
For a variety of reasons, you may need to be able to define the maximum or minimum value of a selected quadratic function. You can find the maximum or minimum if your original function is written in general form, , or in standard form, . Finally, you may also wish to use some basic calculus to define the maximum or minimum of any quadratic function.
Steps
Beginning with the General Form of the Function
-
1Set up the function in general form. A quadratic function is one that has an term. It may or may not contain an term without an exponent. There will be no exponents larger than 2. The general form is . If necessary, combine similar terms and rearrange to set the function in this general form.[1]
- For example, suppose you start with . Combine the terms and the terms to get the following in general form:
- For example, suppose you start with . Combine the terms and the terms to get the following in general form:
-
2Determine the direction of the graph. A quadratic function results in the graph of a parabola. The parabola either opens upward or downward. If , the coefficient of the term, is positive, then the parabola opens upward. If is negative, then the parabola opens downward.[2] Look at the following examples:[3]
- For , so the parabola opens upward.
- For , so the parabola opens downward.
- For , so the parabola opens upward.
- If the parabola opens upward, you will be finding its minimum value. If the parabola opens downward, you will find its maximum value.
Advertisement -
3Calculate -b/2a. The value of tells you the value of the vertex of the parabola. When the quadratic function is written in its general form of , use the coefficients of the and terms as follows:
- For a function , and . Therefore, find the x-value of the vertex as:
- As a second example, consider the function . In this example, and . Therefore, find the x-value of the vertex as:
- For a function , and . Therefore, find the x-value of the vertex as:
-
4Find the corresponding f(x) value. Insert the value of x that you just calculated into the function to find the corresponding value of f(x). This will be the minimum or maximum of the function.
- For the first example above, , you calculated the x-value for the vertex to be . Enter in place of in the function to find the maximum value:
- For the second example above, , you found the vertex to be at . Insert in place of in the function to find the maximum value:
- For the first example above, , you calculated the x-value for the vertex to be . Enter in place of in the function to find the maximum value:
-
5Report your results. Review the question you have been asked. If you are asked for the coordinates of the vertex, you need to report both the and (or ) values. If you are only asked for the maximum or minimum, you only need to report the (or ) value. Refer back to the value of the coefficient to be sure if you have a maximum or a minimum.
- For the first example, , the value of is positive, so you will be reporting the minimum value. The vertex is at , and the minimum value is .
- For the second example, , the value of is negative, so you will be reporting the maximum value. The vertex is at , and the maximum value is .
Using the Standard or Vertex Form
-
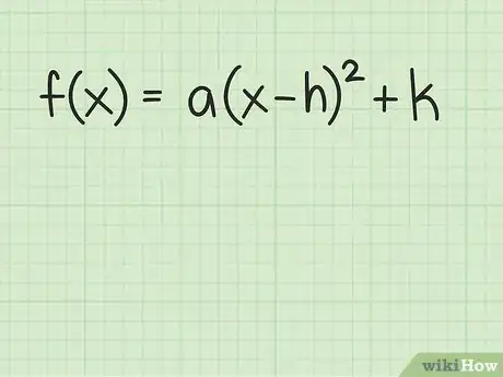
1Write your quadratic function in standard or vertex form. The standard form of a general quadratic function, which can also be called the vertex form, looks like this:[4]
- If your function is already given to you in this form, you just need to recognize the variables , and . If your function begins in the general form , you will need to complete the square to rewrite it in vertex form.
- To review how to complete the square, see Complete the Square.
-
2Determine the direction of the graph. Just as with a quadratic function written in its general form, you can tell the direction of the parabola by looking at the coefficient . If in this standard form is positive, then the parabola opens upward. If is negative, then the parabola opens downward.[5] Look at the following examples:[6]
- For , , which is positive, so the parabola opens upward.
- For , , which is negative, so the parabola opens downward.
- If the parabola opens upward, you will be finding its minimum value. If the parabola opens downward, you will find its maximum value.
-
3Identify the minimum or maximum value. When the function is written in standard form, finding the minimum or maximum value is as simple as stating the value of the variable . For the two example functions given above, these values are:
- For , . This is the minimum value of the function because this parabola opens upward.
- For , . This is the maximum value of the function, because this parabola opens downward.
-
4Find the vertex. If you are asked for the coordinates of the minimum or maximum value, the point will be . Note, however, that in the standard form of the equation, the term inside the parentheses is , so you need the opposite sign of the number that follows the .
- For , the term inside the parentheses is (x+1), which can be rewritten as (x-(-1)). Thus, . Therefore, the coordinates of the vertex for this function are .
- For , the term inside the parentheses is (x-2). Therefore, . The coordinates of the vertex are (2, 2).
Using Calculus to Derive the Minimum or Maximum
-
1Start with the general form. Write your quadratic function in general form, . If necessary, you may need to combine like terms and rearrange to get the proper form.[7]
- Begin with the sample function .
-
2Use the power rule to find the first derivative. Using basic first-year calculus, you can find the first derivative of the general quadratic function to be .[8]
- For the sample function , find the derivative as:
- For the sample function , find the derivative as:
-
3Set the derivative equal to zero. Recall that derivative of a function tells you the slope of the function at that selected point. The minimum or maximum of a function occurs when the slope is zero. Therefore, to find where the minimum or maximum occurs, set the derivative equal to zero. Continue with the sample problem from above:[9]
-
4
-
5Insert the solved value of x into the original function. The minimum or maximum value of the function will be the value for at the selected position. Insert your value of into the original function and solve to find the minimum or maximum.[11]
- For the function at ,
- For the function at ,
-
6Report your solution. The solution gives you the vertex of the maximum or minimum point. For this sample function, , the vertex occurs at . The coefficient is positive, so the function opens upward. Therefore, the minimum value of the function is the y-coordinate of the vertex, which is .[12]
Practice Problems and Answers
Expert Q&A
Did you know you can get expert answers for this article?
Unlock expert answers by supporting wikiHow
-
QuestionHow do you tell if a parabola is maximum or minimum?
Jake AdamsJake Adams is an academic tutor and the owner of Simplifi EDU, a Santa Monica, California based online tutoring business offering learning resources and online tutors for academic subjects K-College, SAT & ACT prep, and college admissions applications. With over 14 years of professional tutoring experience, Jake is dedicated to providing his clients the very best online tutoring experience and access to a network of excellent undergraduate and graduate-level tutors from top colleges all over the nation. Jake holds a BS in International Business and Marketing from Pepperdine University.
Academic Tutor & Test Prep Specialist
-
QuestionHow do you tell if a parabola is up or down?
Jake AdamsJake Adams is an academic tutor and the owner of Simplifi EDU, a Santa Monica, California based online tutoring business offering learning resources and online tutors for academic subjects K-College, SAT & ACT prep, and college admissions applications. With over 14 years of professional tutoring experience, Jake is dedicated to providing his clients the very best online tutoring experience and access to a network of excellent undergraduate and graduate-level tutors from top colleges all over the nation. Jake holds a BS in International Business and Marketing from Pepperdine University.
Academic Tutor & Test Prep Specialist
-
QuestionHow do I graph a quadratic function?
Community AnswerFirst, create a data table with multiple experimental values for x. Sub in those x coordinates and get y coordinates. Plot these along the x and y axis and join the dots with a smooth curve.
References
- ↑ http://www.analyzemath.com/quadraticg/quadraticg.htm
- ↑ Jake Adams. Academic Tutor & Test Prep Specialist. Expert Interview. 20 May 2020.
- ↑ http://www.personal.kent.edu/~bosikiew/Algebra-handouts/quad-extval.pdf
- ↑ http://www.personal.kent.edu/~bosikiew/Algebra-handouts/quad-extval.pdf
- ↑ Jake Adams. Academic Tutor & Test Prep Specialist. Expert Interview. 20 May 2020.
- ↑ http://www.personal.kent.edu/~bosikiew/Algebra-handouts/quad-extval.pdf
- ↑ http://www.themathpage.com/acalc/max.htm
- ↑ http://www.themathpage.com/acalc/max.htm
- ↑ http://www.themathpage.com/acalc/max.htm
About This Article
To find the maximum or minimum value of a quadratic function, start with the general form of the function and combine any similar terms. For example, if you’re starting with the function f(x) = 3x + 2x - x^2 + 3x^2 + 4, you would combine the x^2 and x terms to simplify and end up with f(x) = 2x^2 + 5x + 4. Now figure out which direction the parabola opens by checking if a, or the coefficient of x^2, is positive or negative. If it’s positive, the parabola opens upward. If it’s negative, the parabola opens downward. In the function f(x) = 2x^2 + 5x + 4, the coefficient of x^2 is positive, so the parabola opens upward. Next, find the x value of the vertex by solving -b/2a, where b is the coefficient in front of x and a is the coefficient in front of x^2. In the function f(x) = 2x^2 + 5x + 4, b = 5 and a = 2. Therefore, you would divide -5 by 2 times 2, or 4, and get -1.25. Finally, plug the x value into the function to find the value of f(x), which is the minimum or maximum value of the function. The function f(x) = 2x^2 + 5x + 4 would become f(-1.25) = 2(-1.25)^2 + 5(-1.25) + 4, or f(-1.25) = 0.875. If the parabola opens upward, your answer will be the minimum value. If the parabola opens downward, your answer is the maximum value. In this example, since the parabola opens upward, f(-1.25) = 0.875 is the minimum value of the function. If you want to learn how to use standard or vertex form for your formula, keep reading the article!























































































































