<
Algebra

Algebra

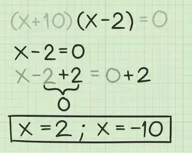
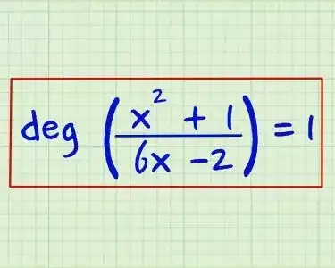
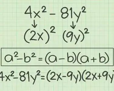
Learn everything you want about Algebra with the wikiHow Algebra Category. Learn about topics such as How to Find the Maximum or Minimum Value of a Quadratic Function Easily, How to Factor a Cubic Polynomial, How to Algebraically Find the Intersection of Two Lines, and more with our helpful step-by-step instructions with photos and videos.

Articles about Algebra