This article was co-authored by David Jia. David Jia is an Academic Tutor and the Founder of LA Math Tutoring, a private tutoring company based in Los Angeles, California. With over 10 years of teaching experience, David works with students of all ages and grades in various subjects, as well as college admissions counseling and test preparation for the SAT, ACT, ISEE, and more. After attaining a perfect 800 math score and a 690 English score on the SAT, David was awarded the Dickinson Scholarship from the University of Miami, where he graduated with a Bachelor’s degree in Business Administration. Additionally, David has worked as an instructor for online videos for textbook companies such as Larson Texts, Big Ideas Learning, and Big Ideas Math.
There are 7 references cited in this article, which can be found at the bottom of the page.
This article has been viewed 634,818 times.
In mathematics, factoring is the act of finding the numbers or expressions that multiply together to make a given number or equation. Factoring is a useful skill to learn for the purpose of solving basic algebra problems; the ability to competently factor becomes almost essential when dealing with quadratic equations and other forms of polynomials. Factoring can be used to simplify algebraic expressions to make solving simpler. Factoring can even give you the ability to eliminate certain possible answers much more quickly than you would be able to by solving manually.[1]
Steps
Factoring Numbers and Basic Algebraic Expressions
-
1Understand the definition of factoring when applied to single numbers. Factoring is conceptually simple, but, in practice, can prove to be challenging when applied to complex equations. Because of this, it's easiest to approach the concept of factoring by starting with simple numbers, then move on to simple equations before finally proceeding to more advanced applications. A given number's factors are the numbers that multiply to give that number. For example, the factors of 12 are 1, 12, 2, 6, 3 and 4, because 1 × 12, 2 × 6, and 3 × 4 all equal 12.[2]
- Another way to think of this is that a given number's factors are the numbers by which it is evenly divisible.
- Can you find all the factors of the number 60? We use the number 60 for a wide variety of purposes (minutes in an hour, seconds in a minute, etc.) because it's evenly divisible by a fairly wide range of numbers.
- The factors of 60 are 1, 2, 3, 4, 5, 6, 10, 12, 15, 20, 30, and 60.
-
2Understand that variable expressions can also be factored. Just as lone numbers can be factored, so too can variables with numeric coefficients be factored. To do this, simply find the factors of the variable's coefficient. Knowing how to factor variables is useful for simplifying algebraic equations that the variables are a part of.[3]
- For example, the variable 12x can be written as a product of the factors of 12 and x. We can write 12x as 3(4x), 2(6x), etc., using whichever factors of 12 are best for our purposes.
- We can even go as far as to factor 12x multiple times. In other words, we don't have to stop with 3(4x) or 2(6x) - we can factor 4x and 6x to give 3(2(2x) and 2(3(2x), respectively. Obviously, these two expressions are equal.
Advertisement - For example, the variable 12x can be written as a product of the factors of 12 and x. We can write 12x as 3(4x), 2(6x), etc., using whichever factors of 12 are best for our purposes.
-
3Apply the distributive property of multiplication to factor algebraic equations. Using your knowledge of how to factor both lone numbers and variables with coefficients, you can simplify simple algebraic equations by finding factors that the numbers and variables in an algebraic equation have in common. Usually, to make the equation as simple as possible, we try to search for the greatest common factor. This simplification process is possible because of the distributive property of multiplication, which states that for any numbers a, b, and c, a(b + c) = ab + ac.[4]
- Let's try an example problem. To factor the algebraic equation 12 x + 6, first, let's try to find the greatest common factor of 12x and 6. 6 is the biggest number that divides evenly into both 12x and 6, so we can simplify the equation to 6(2x + 1).
- This process also applies to equations with negatives and fractions. x/2 + 4, for instance, can be simplified to 1/2(x + 8), and -7x + -21 can be factored to -7(x + 3).
Factoring Quadratic Equations
-
1Ensure the equation is in quadratic form (ax2 + bx + c = 0). Quadratic equations are of the form ax2 + bx + c = 0, where a, b, and c are numeric constants and a does not equal 0 (note that a can equal 1 or -1). If you have an equation containing one variable (x) that has one or more terms of x to the second power, you can usually shift the terms in the equation around using basic algebraic operations to get 0 on one side of equals sign and ax2, etc. on the other side.[5]
- For example, let's consider the algebraic equation. 5x2 + 7x - 9 = 4x2 + x - 18 can be simplified to x2 + 6x + 9 = 0, which is in the quadratic form.
- Equations with greater powers of x, like x3, x4, etc. can't be quadratic equations. They are cubic equations, quartic equations, and so on, unless the equation can be simplified to eliminate these terms of x above the power of 2.
-
2In quadratic equations where a = 1, factor to (x+d )(x+e), where d × e = c and d + e = b. If your quadratic equation it is in the form x2 + bx + c = 0 (in other words, if the coefficient of the x2 term = 1), it's possible (but not guaranteed) that a relatively simple shortcut can be used to factor the equation. Find two numbers that both multiply to make c and add to make b. Once you find these two numbers d and e, place them in the following expression: (x+d)(x+e). These two terms, when multiplied together, produce your quadratic equation - in other words, they are your quadratic equation's factors.
- For example, let's consider the quadratic equation x2 + 5x + 6 = 0. 3 and 2 multiply together to make 6 and also add up to make 5, so we can simplify this equation to (x + 3)(x + 2).
- Slight variations on this basic shortcut exist for slight variations in the equation itself:
- If the quadratic equation is in the form x2-bx+c, your answer is in this form: (x - _)(x - _).
- If it is in the form x2+bx+c, your answer looks like this: (x + _)(x + _).
- If it is in the form x2-bx-c, you answer is in the form (x + _)(x - _).
- Note: the numbers in the blanks can be fractions or decimals. For example, the equation x2 + (21/2)x + 5 = 0 factors to (x + 10)(x + 1/2).
-
3If possible, factor by inspection. Believe it or not, for uncomplicated quadratic equations, one of the accepted means of factoring is simply to examine the problem, then just consider possible answers until you find the right one. This is also known as factoring by inspection. If the equation is in the form ax2+bx+c and a>1, your factored answer will be in the form (dx +/- _)(ex +/- _), where d and e are nonzero numerical constants that multiply to make a. Either d or e (or both) can be the number 1, though this is not necessarily so. If both are 1, you've essentially used the shortcut described above.[6]
- Let's consider an example problem. 3x2 - 8x + 4 at first seems intimidating. However, once we realize that 3 only has two factors (3 and 1), it becomes easier, because we know that our answer must be in the form (3x +/- _)(x +/- _). In this case, adding a -2 to both blank spaces gives the correct answer. -2 × 3x = -6x and -2 × x = -2x. -6x and -2x add to -8x. -2 × -2 = 4, so we can see that the factored terms in parentheses multiply to become the original equation.
-
4Solve by completing the square. In some cases, quadratic equations can be quickly and easily factored by using a special algebraic identity. Any quadratic equation of the form x2 + 2xh + h2 = (x + h)2. So, if, in your equation, your b value is twice the square root of your c value, your equation can be factored to (x + (sqrt(c)))2.[7]
- For example, the equation x2 + 6x + 9 fits this form. 32 is 9 and 3 × 2 is 6. So, we know that the factored form of this equation is (x + 3)(x + 3), or (x + 3)2.
-
5Use factors to solve quadratic equations. Regardless of how you factor your quadratic expression, once it is factored, you can find possible answers for the value of x by setting each factor equal to zero and solving. Since you're looking for values of x that cause your equation to equal zero, a value of x that makes either of your factors equal zero is a possible answer for your quadratic equation.[8]
- Let's return to the equation x2 + 5x + 6 = 0. This equation factored to (x + 3)(x + 2) = 0. If either of the factors equals 0, the entire equation equals 0, so our possible answers for x are the numbers that make (x + 3) and (x + 2) equal 0. These numbers are -3 and -2, respectively.
-
6Check your answers - some of them may be extraneous! When you've found your possible answers for x, plug them back in to your original equation to see if they are valid. Sometimes, the answers you find don't cause the original equation to equal zero when plugged back in. We call these answers extraneous and disregard them.[9]
- Let's plug -2 and -3 into x2 + 5x + 6 = 0. First, -2:
- (-2)2 + 5(-2) + 6 = 0
- 4 + -10 + 6 = 0
- 0 = 0. This is correct, so -2 is a valid answer.
- Now, let's try -3:
- (-3)2 + 5(-3) + 6 = 0
- 9 + -15 + 6 = 0
- 0 = 0. This is also correct, so -3 is also a valid answer.
- Let's plug -2 and -3 into x2 + 5x + 6 = 0. First, -2:
Factoring Other Forms of Equations
-
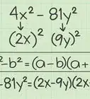
1If the equation is in the form a2-b2, factor it to (a+b)(a-b). Equations with two variables factor differently than basic quadratics. For any equation a2-b2 where a and b do not equal 0, the equation factors to (a+b)(a-b).
- For example, the equation 9x2 - 4y2 = (3x + 2y)(3x - 2y).
-
2If the equation is in the form a2+2ab+b2, factor it to (a+b)2. Note that, If the trinomial is in the form a2-2ab+b2, the factored form is slightly different: (a-b)2.
- The equation 4x2 + 8xy + 4y2 can be re-written as 4x2 + (2 × 2 × 2)xy + 4y2. We can now see that it's in the correct form, so we can say with confidence that our equation factors to (2x + 2y)2
-
3If the equation is in the form a3-b3, factor it to (a-b)(a2+ab+b2). Finally, it bears mentioning that cubics and even higher-order equations can be factored, though the factoring process quickly becomes prohibitively complicated.
- For instance, 8x3 - 27y3 factors to (2x - 3y)(4x2 + ((2x)(3y)) + 9y2)
Community Q&A
-
QuestionHow do I factor simple addition?
Community AnswerFind a common factor for the two numbers. For example, for 6 + 8, 6 and 8 share a factor of two. You can then rewrite it as 2 (3 + 4). -
QuestionHow would I factor -24x+4x^2?
DonaganTop AnswererBoth terms have 4x as a factor. Therefore, -24x + 4x² = 4x(-6 + x) = 4x(x - 6). -
QuestionCan you demonstrate an easier problem? I have problems like 42r - 18 to factor.
Community AnswerFind a common factor of 42r and 18, e.g. 6. This number will go on the outside of the bracket so 6(...). Then divide the original number(s) you had by 6. We end up with 7r-3. This will go on the inside of the bracket to make the final answer: 6(7r-3). You can check your answer by expanding the brackets again: if the answer matches what you started with, then the answer is correct!
Things You'll Need
- Paper
- Pencil
- Math Book (if necessary)
References
- ↑ https://www.basic-mathematics.com/what-is-factoring.html
- ↑ https://www.mathsisfun.com/algebra/factoring.html
- ↑ https://www.mathsisfun.com/algebra/factoring.html
- ↑ https://www.khanacademy.org/math/algebra/x2f8bb11595b61c86:quadratics-multiplying-factoring/x2f8bb11595b61c86:factor-quadratics-grouping/a/factoring-by-grouping
- ↑ https://www.purplemath.com/modules/factquad.htm
- ↑ https://brownmath.com/alge/polysol.htm
- ↑ https://www.khanacademy.org/math/algebra/x2f8bb11595b61c86:quadratic-functions-equations/x2f8bb11595b61c86:quadratics-solve-factoring/a/solving-quadratic-equations-by-factoring
- ↑ https://www.khanacademy.org/math/algebra/x2f8bb11595b61c86:quadratic-functions-equations/x2f8bb11595b61c86:quadratics-solve-factoring/a/solving-quadratic-equations-by-factoring
- ↑ https://www.wtamu.edu/academic/anns/mps/math/mathlab/col_algebra/col_alg_tut19_radeq.htm
About This Article
To factor a basic algebraic equation, start by looking for the largest factor that all the numbers in the equation have in common. For instance, if your equation is 6x + 2 = 0, the largest common factor that can be divided evenly into both terms on the left side of the equation is 2. Divide each term by the largest common factor, then rewrite the expression in the form a(b + c), where a is the largest common factor. After factoring, our example equation would become 2(3x + 1) = 0. If the equation contains variables that are common factors in multiple terms, you can factor those out as well. For instance, in the equation 4x² – 2x = 0, each term contains the common factors 2 and x. To factor the left side of the equation, divide each term by those factors to get 2x(2x – 1) = 0. If you want to learn how to factor quadratic equations, keep reading the article!



























































