Tybamate |
|
| ATC code | |
|---|
|
[2-(Carbamoyloxymethyl)-2-methylpentyl] N-butylcarbamate
|
| CAS Number | |
|---|
| PubChem CID | |
|---|
| ChemSpider | |
|---|
| UNII | |
|---|
| KEGG | |
|---|
| CompTox Dashboard (EPA) | |
|---|
| ECHA InfoCard | 100.022.050 |
|---|
|
| Formula | C13H26N2O4 |
|---|
| Molar mass | 274.361 g·mol−1 |
|---|
| 3D model (JSmol) | |
|---|
CCCCNC(=O)OCC(C)(CCC)COC(=O)N
|
InChI=1S/C13H26N2O4/c1-4-6-8-15-12(17)19-10-13(3,7-5-2)9-18-11(14)16/h4-10H2,1-3H3,(H2,14,16)(H,15,17) YKey:PRBORDFJHHAISJ-UHFFFAOYSA-N Y
|
Tybamate (INN; Solacen, Tybatran, Effisax) is an anxiolytic of the carbamate family.[1] It is a prodrug for meprobamate in the same way as the better known drug carisoprodol. It has liver enzyme inducing effects similar to those of phenobarbital but much weaker.[2]
As the trade name Tybatran (Robins), it was formerly available in capsules of 125, 250, and 350 mg, taken 3 or 4 times a day for a total daily dosage of 750 mg to 2 g. The plasma half-life of the drug is three hours. At high doses in combination with phenothiazines, it could produce convulsions.[3]
Synthesis

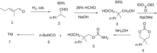
Catalytic hydrogenation of 2-methyl-2-pentenal (1) gives the aldehyde 2-methylpentanal (2). Treatment with formaldehyde gives a crossed Cannizzaro reaction yielding 2,2-bis(hydroxymethyl)pentane (3). Cyclisation of this diol with diethyl carbonate gives (4), which reacts with ammonia to provide the carbamate (5). Lastly, treatment with butyl isocyanate (6) produces tybamate.[4][5][6]
References
- ^ Index Nominum 2000: International Drug Directory. Taylor & Francis. January 2000. p. 1077. ISBN 978-3-88763-075-1.
- ^ Segelman FH, Kelton E, Terzi RM, Kucharczyk N, Sofia RD (June 1985). "The comparative potency of phenobarbital and five 1,3-propanediol dicarbamates for hepatic cytochrome P450 induction in rats". Research Communications in Chemical Pathology and Pharmacology. 48 (3): 467–70. PMID 4023427.
- ^ American Medical Association Dept of Drugs (1977). AMA Drug Evaluations (3rd ed.). Littleton, Mass.: Pub. Sciences Group. p. 406. ISBN 978-0-88416-175-2. OCLC 1024170745.
- ^ Ludwig BJ, Piech EC (1951). "Some Anticonvulsant Agents Derived from 1,3-Propanediols". Journal of the American Chemical Society. 73 (12): 5779–5781. Bibcode:1951JAChS..73.5779L. doi:10.1021/ja01156a086.
- ^ Reisberg P, Kress J, Bodin JI (1975). Tybamate. Analytical Profiles of Drug Substances. Vol. 4. pp. 494–515. doi:10.1016/S0099-5428(08)60025-8. ISBN 978-0-12-260804-9.
- ^ "Tybamate". Pharmaceutical Substances. Thieme. Retrieved 2024-07-08.
|
|---|
| 5-HT1ARTooltip 5-HT1A receptor agonists | |
|---|
| GABAARTooltip GABAA receptor PAMsTooltip positive allosteric modulators | |
|---|
Gabapentinoids (α2δ VDCC blockers) | |
|---|
| Antidepressants | |
|---|
Sympatholytics (Antiadrenergics) |
- Alpha-1 blockers (e.g., prazosin)
- Alpha-2 agonists (e.g., clonidine, dexmedetomidine, guanfacine)
- Beta blockers (e.g., propranolol, atenolol, betaxolol, nadolol, oxprenolol, pindolol)
|
|---|
| Others | |
|---|
|
|
|---|
| Alcohols | |
|---|
| Barbiturates | |
|---|
| Benzodiazepines | |
|---|
| Carbamates | |
|---|
| Flavonoids |
- 6-Methylapigenin
- Ampelopsin (dihydromyricetin)
- Apigenin
- Baicalein
- Baicalin
- Catechin
- EGC
- EGCG
- Hispidulin
- Linarin
- Luteolin
- Rc-OMe
- Skullcap constituents (e.g., baicalin)
- Wogonin
|
|---|
| Imidazoles | |
|---|
| Kava constituents |
- 10-Methoxyyangonin
- 11-Methoxyyangonin
- 11-Hydroxyyangonin
- Desmethoxyyangonin
- 11-Methoxy-12-hydroxydehydrokavain
- 7,8-Dihydroyangonin
- Kavain
- 5-Hydroxykavain
- 5,6-Dihydroyangonin
- 7,8-Dihydrokavain
- 5,6,7,8-Tetrahydroyangonin
- 5,6-Dehydromethysticin
- Methysticin
- 7,8-Dihydromethysticin
- Yangonin
|
|---|
| Monoureides | |
|---|
| Neuroactive steroids | |
|---|
| Nonbenzodiazepines | |
|---|
| Phenols | |
|---|
| Piperidinediones | |
|---|
| Pyrazolopyridines | |
|---|
| Quinazolinones | |
|---|
| Volatiles/gases | |
|---|
| Others/unsorted |
- 3-Hydroxybutanal
- α-EMTBL
- AA-29504
- Alogabat
- Avermectins (e.g., ivermectin)
- Bromide compounds (e.g., lithium bromide, potassium bromide, sodium bromide)
- Carbamazepine
- Chloralose
- Chlormezanone
- Clomethiazole
- Darigabat
- DEABL
- Deuterated etifoxine
- Dihydroergolines (e.g., dihydroergocryptine, dihydroergosine, dihydroergotamine, ergoloid (dihydroergotoxine))
- DS2
- Efavirenz
- Etazepine
- Etifoxine
- Fenamates (e.g., flufenamic acid, mefenamic acid, niflumic acid, tolfenamic acid)
- Fluoxetine
- Flupirtine
- Hopantenic acid
- KRM-II-81
- Lanthanum
- Lavender oil
- Lignans (e.g., 4-O-methylhonokiol, honokiol, magnolol, obovatol)
- Loreclezole
- Menthyl isovalerate (validolum)
- Monastrol
- Nicotinic acid
- Nicotinamide
- Org 25,435
- Phenytoin
- Propanidid
- Retigabine (ezogabine)
- Safranal
- Seproxetine
- Stiripentol
- Sulfonylalkanes (e.g., sulfonmethane (sulfonal), tetronal, trional)
- Terpenoids (e.g., borneol)
- Topiramate
- Valerian constituents (e.g., isovaleric acid, isovaleramide, valerenic acid, valerenol)
|
|---|
See also: Receptor/signaling modulators • GABA receptor modulators • GABA metabolism/transport modulators |