Toloxatone |
|
Routes of administration | Oral |
|---|
| ATC code | |
|---|
|
| Legal status |
|
|---|
|
5-(hydroxymethyl)-3-m-tolyloxazolidin-2-one
|
| CAS Number | |
|---|
| PubChem CID | |
|---|
| ChemSpider | |
|---|
| UNII | |
|---|
| KEGG | |
|---|
| ChEBI | |
|---|
| ChEMBL | |
|---|
| CompTox Dashboard (EPA) | |
|---|
| ECHA InfoCard | 100.045.006 |
|---|
|
| Formula | C11H13NO3 |
|---|
| Molar mass | 207.229 g·mol−1 |
|---|
| 3D model (JSmol) | |
|---|
|
InChI=1S/C11H13NO3/c1-8-3-2-4-9(5-8)12-6-10(7-13)15-11(12)14/h2-5,10,13H,6-7H2,1H3 YKey:MXUNKHLAEDCYJL-UHFFFAOYSA-N Y
|
Toloxatone (Humoryl) is an antidepressant launched in 1984 in France by Sanofi Aventis for the treatment of depression. It was discontinued in 2002.[1] It acts as a selective reversible inhibitor of MAO-A (RIMA).[2]
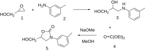
Synthesis

The reaction between glycidol (1) and m-toluidine (2) gives 3-m-toluidinopropane-1,2-diol (3). Treatment with diethyl carbonate (4) in the presence of sodium methoxide leads to an intermolecular cycloaddition to give tomoxatone.[3][4][5]
See also
References
- ^ "Humoryl 200mg gelule 30".
- ^ Berlin I, Zimmer R, Thiede HM, et al. (December 1990). "Comparison of the monoamine oxidase inhibiting properties of two reversible and selective monoamine oxidase-A inhibitors moclobemide and toloxatone, and assessment of their effect on psychometric performance in healthy subjects". British Journal of Clinical Pharmacology. 30 (6): 805–16. doi:10.1111/j.1365-2125.1990.tb05445.x. PMC 1368300. PMID 1705137.
- ^ Sungurbey, K .; Castaer, J .; Toloxatone. Drugs Fut 1976, 1, 12, 569.
- ^ Douzon, C.; Fauvan, C.; Une nouvelle serie d'antidpresseurs: les derivs de l'hydroxymthyl-5-oxazolidinone-2. Chimie Thrapeutique 1973, 3, 324-327.
- ^ DE2012120 Claude P Fauran, Guy M Raynaud, Rene A Oliver, Colette A Douzon, U.S. patent 3,655,687 (1972 to Delalande Sa).
|
|---|
|
|---|
| SSRIsTooltip Selective serotonin reuptake inhibitors | |
|---|
| SNRIsTooltip Serotonin–norepinephrine reuptake inhibitors | |
|---|
| NRIsTooltip Norepinephrine reuptake inhibitors | |
|---|
| NDRIsTooltip Norepinephrine–dopamine reuptake inhibitors | |
|---|
| NaSSAsTooltip Noradrenergic and specific serotonergic antidepressants | |
|---|
| SARIsTooltip Serotonin antagonist and reuptake inhibitors | |
|---|
| SMSTooltip Serotonin modulator and stimulators | |
|---|
| Others | |
|---|
|
|
|
|---|
| TCAsTooltip Tricyclic antidepressants | |
|---|
| TeCAsTooltip Tetracyclic antidepressants | |
|---|
| Others | |
|---|
|
|
|
|---|
| Non-selective | |
|---|
| MAOATooltip Monoamine oxidase A-selective | |
|---|
| MAOBTooltip Monoamine oxidase B-selective | |
|---|
|
|
|
|
|
|
|---|
| 5-HT1ARTooltip 5-HT1A receptor agonists | |
|---|
| GABAARTooltip GABAA receptor PAMsTooltip positive allosteric modulators | |
|---|
Gabapentinoids (α2δ VDCC blockers) | |
|---|
| Antidepressants | |
|---|
Sympatholytics (Antiadrenergics) |
- Alpha-1 blockers (e.g., prazosin)
- Alpha-2 agonists (e.g., clonidine, dexmedetomidine, guanfacine)
- Beta blockers (e.g., propranolol, atenolol, betaxolol, nadolol, oxprenolol, pindolol)
|
|---|
| Others | |
|---|
|
|
|---|
| Non-specific | | AAADTooltip Aromatic L-amino acid decarboxylase | |
|---|
| MAOTooltip Monoamine oxidase | |
|---|
|
|---|
Phenethylamines (dopamine, epinephrine, norepinephrine) | | PAHTooltip Phenylalanine hydroxylase |
- Substrates→Products: Phenylalanine→Tyrosine
|
|---|
| THTooltip Tyrosine hydroxylase | |
|---|
| DBHTooltip Dopamine beta-hydroxylase | |
|---|
| PNMTTooltip Phenylethanolamine N-methyltransferase |
- Inhibitors: CGS-19281A
- SKF-64139
- SKF-7698
|
|---|
| COMTTooltip Catechol-O-methyl transferase | |
|---|
|
|---|
Tryptamines (serotonin, melatonin) | | TPHTooltip Tryptophan hydroxylase |
- Substrates→Products: Tryptophan→5-HTP
|
|---|
| AANATTooltip Serotonin N-acetyl transferase | |
|---|
| ASMTTooltip Acetylserotonin O-methyltransferase | |
|---|
|
|---|
| Histamine | | HDCTooltip Histidine decarboxylase |
- Substrates→Products: L-Histidine→Histamine
|
|---|
| HNMTTooltip Histamine N-methyltransferase |
- Substrates→Products: Histamine→N-Methylhistamine
|
|---|
| DAOTooltip Diamine oxidase |
- Substrates→Products: Histamine→Imidazole acetic acid
|
|---|
|
|---|
See also: Receptor/signaling modulators • Adrenergics • Dopaminergics • Melatonergics • Serotonergics • Monoamine reuptake inhibitors • Monoamine releasing agents • Monoamine neurotoxins |