Prenalterol
![]() | |
| Clinical data | |
|---|---|
| Trade names | Hyprenan |
| Other names | CGP-7760B; CGP-7760/B; H-133/22; IHP |
| Routes of administration | Oral, IV |
| ATC code | |
| Legal status | |
| Legal status |
|
| Identifiers | |
IUPAC name
| |
| CAS Number | |
| PubChem CID | |
| IUPHAR/BPS | |
| ChemSpider | |
| UNII | |
| ChEMBL | |
| CompTox Dashboard (EPA) | |
| ECHA InfoCard | 100.055.246 |
| Chemical and physical data | |
| Formula | C12H19NO3 |
| Molar mass | 225.288 g·mol−1 |
| 3D model (JSmol) | |
SMILES
| |
InChI
| |
| | |
Prenalterol, sold under the brand name Hyprenan, is a sympathomimetic agent and cardiac stimulant which acts as a β1-adrenergic receptor partial agonist and is used in the treatment of heart failure.[1][2][3][4][5] It has selectivity for the β1-adrenergic receptor.[1][2][3][4] Its partial agonist activity or intrinsic sympathomimetic activity is about 60%.[6] It is said to have much greater impact on myocardial contractility than on heart rate.[4] The drug has been marketed in Denmark, Norway, and Sweden.[2]
Chemistry
Synthesis
Stereospecific
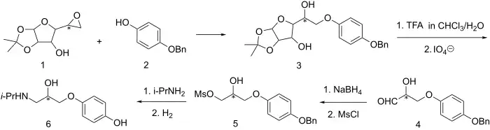
Prenalterol exhibits adrenergic agonist activity in spite of an interposed oxymethylene group. The stereospecific synthesis devised for this molecule relies on the fact that the side chain is very similar in oxidation state to that of a sugar.[7][8]

Condensation of monobenzone (2) with the epoxide derived from α-D-glucofuranose[9] affords the glycosylated derivative (3). Hydrolytic removal of the acetonide protecting groups[10] followed by cleavage of the sugar with periodate gives aldehyde (4). This is reduced to the glycol by means of NaBH4 and the terminal alcohol is converted to the mesylate (5). Displacement of the leaving group with isopropylamine followed by hydrogenolytic removal of the O-benzyl ether affords the β1-adrenergic selective adrenergic agonist prenalterol (6).
Racemic
Several preparations of the racemic mixture have been reported.[11][12][13][14][15]
See also
- Alifedrine
- Xamoterol
References
- ^ a b Elks J (2014). The Dictionary of Drugs: Chemical Data: Chemical Data, Structures and Bibliographies. Springer US. p. 1014. ISBN 978-1-4757-2085-3. Retrieved 2024-08-29.
- ^ a b c Schweizerischer Apotheker-Verein (2000). Index Nominum 2000: International Drug Directory. Index nominum. Medpharm Scientific Publishers. p. 873. ISBN 978-3-88763-075-1. Retrieved 29 August 2024.
- ^ a b Morton IK, Hall JM (2012). Concise Dictionary of Pharmacological Agents: Properties and Synonyms. Springer Netherlands. p. 231. ISBN 978-94-011-4439-1. Retrieved 2024-08-29.
- ^ a b c Kendall MJ, Goodfellow RM, Westerling S (June 1982). "Prenalterol--a new cardioselective inotropic agent". J Clin Hosp Pharm. 7 (2): 107–118. doi:10.1111/j.1365-2710.1982.tb01010.x. PMID 7050180.
- ^ Hadfield SE, Slee SJ, Snow HM (1989). "The cardiovascular pharmacology of xamoterol, cicloprolol, prenalterol and pindolol in the anaesthetised dog". British Journal of Clinical Pharmacology. 28 (Suppl 1): 78S – 81S. doi:10.1111/j.1365-2125.1989.tb03580.x. PMC 1379883. PMID 2572262.
- ^ Wirtzfeld A, Klein G, Bibra HV, Sauer E (January 1985). "Prenalterol: a partial beta 1-adrenoceptor agonist or a beta-blocker with intrinsic activity?". Int J Clin Pharmacol Ther Toxicol. 23 (1): 20–27. PMID 2859252.
- ^ DE 2503968, Jaeggi KA, Schröter H, Ostermayer F, "Optisch aktive Derivate des 1-Phenoxy-2-hydroxy-3-aminopropan und Verfahren zu ihrer Herstellung [Optically active derivatives of 1-phenoxy-2-hydroxy-3-aminopropane and the process for their production]", published 1975-08-14, assigned to Ciba-Geigy AG Chem. Abstr. 84, 5322 (1976).
- ^ corresp to U.S. patent 3,978,041 and U.S. patent 4,049,797 (1975, 1976, 1977, all to Ciba-Geigy)
- ^ "Α-D-Glucofuranose | C6H12O6". ChemSpider.
- ^ Liu Z, Hu BH, Messersmith PB (May 2010). "Acetonide Protection of Dopamine for the Synthesis of Highly Pure N-docosahexaenoyldopamine". Tetrahedron Letters. 51 (18): 2403–2405. doi:10.1016/j.tetlet.2010.02.089. PMC 2882309. PMID 20543896.
- ^ NL 6409883 H. Köppe et al.
- ^ U.S. patent 3,637,852 (1965, 1972 both to Boehringer Ingelheim)
- ^ NL 301580 A. F. Crowther, L. H. Smith
- ^ U.S. patent 3,501,769 (1965, 1970 both to ICI)
- ^ Crowther AF, Gilman DJ, McLoughlin BJ, Smith LH, Turner RW, Wood TM (July 1969). "Beta-Adrenergic blocking agents. V. 1-Amino-3-(substituted phenoxy)-2-propanols". Journal of Medicinal Chemistry. 12 (4): 638–642. doi:10.1021/jm00304a018. PMID 5793156.
Further reading
- "Special Issue on Prenalterol". Acta Medica Scandinavica. 211 (S659). 1982. doi:10.1111/joim.1982.211.issue-s659.
