Befunolol
![]() | |
| Clinical data | |
|---|---|
| Trade names | Benfuran, Bentos, Betaclar, Glauconex |
| AHFS/Drugs.com | International Drug Names |
| ATC code | |
| Identifiers | |
IUPAC name
| |
| CAS Number | |
| PubChem CID | |
| DrugBank | |
| ChemSpider | |
| UNII | |
| KEGG | |
| ChEMBL | |
| CompTox Dashboard (EPA) | |
| Chemical and physical data | |
| Formula | C16H21NO4 |
| Molar mass | 291.347 g·mol−1 |
| 3D model (JSmol) | |
SMILES
| |
InChI
| |
Befunolol (INN) is a beta blocker with intrinsic sympathomimetic activity used in the management of open-angle glaucoma.[1] It also acts as a β adrenoreceptor partial agonist.[2][3] Befunolol was introduced in Japan in 1983 by Kakenyaku Kako Co. under the trade name Bentos.[4]
Synthesis
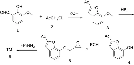
The first reported synthesis of befunolol in 1974 used a benzofuran derivative (4) with epichlorohydrin and then isopropylamine to add the sidechain which was known to produce beta blockers, by analogy with drugs discovered by Imperial Chemical Industries, such as propanolol.[5] The requisite intermediate was synthesized from ortho-vanillin (1) by a condensation reaction with chloroacetone (2) in the presence of potassium hydroxide, giving 2-acetyl-7-methoxybenzofuran (3), which was demethylated using hydrobromic acid.[6][7][8]
References
- ^ Reichl S, Müller-Goymann CC (January 2003). "The use of a porcine organotypic cornea construct for permeation studies from formulations containing befunolol hydrochloride". International Journal of Pharmaceutics. 250 (1): 191–201. doi:10.1016/S0378-5173(02)00541-0. PMID 12480285.
- ^ Koike K, Takayanagi I (October 1986). "A beta-adrenergic partial agonist (befunolol) discriminates two different affinity sites". Japanese Journal of Pharmacology. 42 (2): 325–328. doi:10.1254/jjp.42.325. PMID 2879061.
- ^ Takayanagi I, Koike K (January 1985). "A beta-adrenoceptor blocking agent, befunolol as a partial agonist in isolated organs". General Pharmacology. 16 (3): 265–267. doi:10.1016/0306-3623(85)90080-1. PMID 2862092.
- ^ Pharmaceutical Manufacturing Encyclopedia (3rd revised ed.). Norwich, N.Y.: William Andrew Publishing. January 14, 2008. p. 542. ISBN 978-0815515265.
- ^ Lednicer D (1998). Strategies for Organic Drug Synthesis and Design. Canada: John Wiley & Sons. pp. 37–41. ISBN 0-471-19657-6.
- ^ US 3853923, Ito K, Ikemoto M, Kimura K, Nakanishi T, "2-Substituted-(2-hydroxy-3-lower alkaminopropoxy)-benzofurans", issued 1974, assigned to Kakenyaku Kako KK
- ^ Nakano J, Mimura M, Hayashida M, Fujii M, Kimura K, Nakanishi T (April 1988). "Syntheses of the optical isomers of befunolol.HCl and their beta-adrenergic blocking activities". Chemical & Pharmaceutical Bulletin. 36 (4): 1399–1403. doi:10.1248/cpb.36.1399. PMID 2901296.
- ^ "Befunolol". Pharmaceutical Substances. Georg Thieme Verlag KG. Retrieved 2024-07-01.

