Recently, I tried to set up an experiment at home to study what path the current takes at different frequencies for the circuit below. I think this will be a fun project, but I'll need your help.
I essentially want to connect a function generator to a resistor, that is in turn connected to three conductors. These conductors should be all of varying length but of same type. I then want to measure the current going through each and every conductor at different frequencies.
I have tried making a Multisim simulation already, so that's done. Now I want to finish the mathematical part of this. I first searched alot on the internet, and found expressions for the impedance of a transmission line, which I think will be a good model for my conductor.
$$ Z= \sqrt{\frac{R+jwL}{G+jWC}} $$
Using this, of course, I could easily calculate the current going each path. However, this formula doesn't take into account for the length of the conductor. This means that the impedance will essentially be the same for all of them, independent of the length.
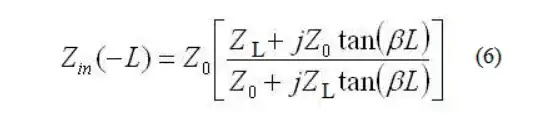
This is not the result that I'd expect. I also found another formula for the in-impedance, which does include the length of the cable where I just could plug in a load impedance = 0.
It was really a long time ago I worked with the mathematical part of electronics, so I'd be glad if anyone could give me a push on how to derive this. If possible, I'd be glad if it can be spoken in general terms so that I can derive the expression for n parallell wires all of varying lengths.
The result I'd expect is that the current path will, for low frequencies, be independent of the lengths of the cable, and divide itself equally. But I don't really know how he result would be for high frequencies. I'd however assume that as the frequencies increase by alot, the impedances will converge to their charateristic impedances and so the current will divide itself equally once again. However, this is just blind guessing.

