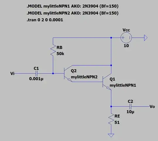
As you may see from title, I made a darlington transistor like this.
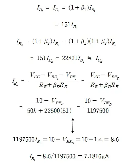
I set each transistor(Q1 and Q2) to have β = 150. So, total darlington β must have 22500 or thereabouts according to a formula below.
But, total β from my LTspice comes out to 16485.5871
And according to my calculation,
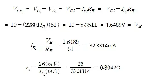
VE has to be equal to 1.6489V(theoretical value).
But, VE in my LTspice circuit comes out like this.
That's really odd... I thought I designed my circuit in LTspice correctly so it could be same as theoretical values. But it turns out to be different.
Maybe, did I calculate theoretical values? Or Did I make a mistake when I design a darlington transistor in LTspice?
Please help me, friends...
If you need more information, please request. I'd be more than happy to give you!






