TL;DR Yes, you are basically correct in your intuition.
(And maybe it will look more natural if you consider a PNP and look at holes, because the main flow of carriers is in the same sense as the conventional currents in the outside circuit.)
Unfortunately, when the current control interpretation of the BJT is brought up we must face what appears to be the engineering version of the chicken and egg conundrum. Some people will say the transistor is a current controlled device (because, you know, \$I_c = \beta I_b\$ or \$I_c = \alpha I_e\$), some people will say it is definitely a voltage controlled device (because of the \$I_C = f(V_{BE})\$ relation), and some people (me included) are agnostic and see voltage and current as concomitant (in a conductor you cannot sustain a voltage without a current, much in the same way as you cannot sustain a current without voltage).
Personally I even go a step further since I believe that the equations of physics are but relations between the quantities involved and do not imply a cause-effect relationship unless time can be involved in them somehow (but that's me.)
Let me add here what I believe is pertinent with the doubts expressed in your question and comment.
Direct, inverse, whatever...
The 'Shockley equation' some bring as a proof of exclusive voltage control is just half of the story. For starters, I would avoid to call it that way, and reserve the name "Shockley equation" only for the relation that links the current to the voltage across the same PN junction. We can write this relation (in the following omitting the reality factor n) in both the 'direct'
$$ I_J = I_s \left(e^\frac{V_J}{V_{th}} - 1\right) $$
or 'inverse' form,
$$ V_J = V_{th}\log\left(1 + \frac{I_J}{I_s}\right) $$
where the latter sees voltage as a function of current (a form that is used to design PTAT thermometers, where the difference in junction voltages associated to two different impressed currents is used to determine the T inside Vth).
The relation between Ic and Vbe, on the other hand, is a bit more delicate in that it relates voltage and current in different PN junctions and the concomitance of voltage and current cannot be applied directly to it.
$$ I_c = I_s \left(e^\frac{V_{BE}}{V_{th}} - 1\right) $$
But the fact that even in its simplest form with only Vbe it appears to be more complex of the simple linear relation \$I_C = \beta I_B\$ does not make it more fundamental. Both base and collector currents depend (approximately) exponentially on the base-emitter voltage and once you accept you are driving the base-emitter diode (with voltage or current? That is the question) the same amount of information is included in both the \$I_C = \beta I_b\$ relation and the simplified Ebers Moll equation relating Ic to Vbe (let's call it \$I_C = ebersmoll(V_{BE})\$ for short).
Moreovoer, note that the above is a simplified version of the (already simplified of its own) relation

which is only a part of the slightly more detailed model that includes the effects of both junctions. Forgive me for using the rather ancient convention adopted in Millman & Halkias (either Electronic Devices, Sec. 9-5 "Detailed study of the currents in a transistor", p. 229, or Integrated Electronics, Sec. 5-12 "Analytical Expressions for Transistor Charateristics", p. 145) but I have both direct and inverse relationship in that form already typed:

The point I want to make is that these equations can be inverted to show voltages as a function of currents

There is nothing special in expressing V as a function of I or I as a function of V. To my knowledge cause and effect are not embedded in the equations. And when V and I refer to voltage across and current into the same PN junction there is no point in trying to determine which one is causing the other.
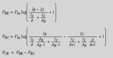
Let's leave Millman in the past and go back to the twenty-first century: a more modern approach to modeling the transistors guts is by using the transport model (and again different conventions, sorry...but at least this is a modern one where \$I_E = I_C + I_B\$ and the voltages are the more familiar \$V_{BE}\$ and \$V_{BC}\$.)

Note that if we want to, we can invert these equations as well - just solve the first two for \$V_{BE}\$ and \$V_{BC}\$ and use KVL for the \$V{CE}\$ :

Irregardless of how you see the above equations, expressing currents in terms of voltages or as voltages in terms of currents, you will always find at least a current and a voltage that are 'concomitant' since they refer to the same junction: \$I_E\$ and \$V_{BE}\$ are concomitant, \$I_C\$ and \$V_{BC}\$ are concomitant, \$V_{BE}\$ and \$I_B\$are concomitant.
When we deal with the transistor is active zone, certain contributes will dominate the others (for example \$I_C\$ does not depend much on \$V_{BC}\$ because the corresponding exponential becomes very small, so we tend to see it as a function of \$V_{BE}\$ alone) but because of the concomitance relations linking voltage and current at the same junction, to me considering \$I_C\$ as a consequence of \$V_{BE}\$ is the same as considering \$I_C\$ a consequence of \$I_B\$ (and, viceversa, \$I_C = f(I_B)\$ is equivalent to \$I_C = g(V_{BE})\$). Analogously, considering \$I_C\$ as a consequence of \$I_E\$ is the same as considering \$I_C\$ as a consequence of \$V_{BE}\$ (and viceversa).
This is not denying causality: when I force a voltage between base and emitter I am causing - presumably a few nano or picoseconds later - a current to flow in the collector. My point is that that voltage across the base-emitter junction is also associated with a current injected into the base - no delay at all, they are concomitant. Hence, current control or voltage control are equivalent way to explain the transistor's working.
If you really are in search for an explanation that is closer to the physics of the device, I suggest you take a look at the concentration of carriers. The transport model is basically considering the working of a transistor as a superposition of the effects of currents flowing in the device when only one junction at the time is excited.

The complete transport model (here shown for a PNP transistor) is the superposition of the excitation of the base and collector junction separately. Here the battery symbols represent the positive convention for the voltages (that can assume negative values
But the transistor is an inherently nonlinear device (its V-I characteristics are exponentials and logarithms), so you should ask yourself this question: how is it possible to construct a model using the superposition of effects?
The answer is that there is indeed linearity, but it is in the concentration of carriers. If you really want to find a fundamental equation that sums up the inner working of the transistor you should look at the continuity equation, a là Bob Widlar.
Personally, I see the above hidden linearity in an inherently nonlinear device as a reflection of the fact that what matters is charge: how much is there, where is it and how does it move. Electric fields (hence potential energies and band diagrams) and current densities can be deduced from charge configurations and evolution.
Who plays first, in base?
So, let's go back to your transistor example (a word of advice: I find it easier to use PNPs to see what happens inside a BJT, looks more 'natural' so - I will avoid naming the majority or minority carriers explicitly) and let me magically materialize an offending charge carrier in base (you should actually think statistically - when I say 'one carrier' I mean a bunch of carriers for which you can find an average behavior.) Its field will disturb the equilibrium and either it will draw opposite charge towards itself or it will be attracted to opposite charges (at the same time, since we live at temperatures higher than 0 K, it will undergo diffusion). It is highly likely that it will recombine with a carrier of opposing charge and in the end the charge that will reestabilish the equilibrium will have to come from outside the device. The emitter is in the ideal position to provide just that.
Since we are dealing with semiconductors of different types, when the emitter supplies what for it is a majority carrier, the base will be entered by what it sees as a minority carrier. This carrier (actually a bunch of carriers) will diffuse like a gas and will not go straight to the offending extra charge to be neutralized. If the base is thin enough, before it even knows it, the carrier will find itself near the collector junction where the electric field in the depletion region (mind you, that field was there before I even thought to materialize a carrier) will divert it from its intended mission and send it to the collector contact. As a matter of fact, out of say 100 charges the emitter is supplying to the base, 99 will be swept away by the collector.
(This is an oversimplified picture, in reality we should take into account, at least, the carriers lost by recombination in the base and the different lifetimes of electrons and holes, also and the actual movement of charges is a bit more convoluted as there are other contributions to the outside currents, but the point is that the carrier you inject in base alters the dynamical equilibrium and the depletion zone so that the big flow of carriers that goes from emitter to collector will change accordingly - you can read about it on Streetman.)
The more carriers you manage to put into the base, the more carriers the emitter will have to inject to neutralize them, but since it appears to have the shooting ability of a starship trooper, the great majority of these carriers will end up in the collector.
Voltage vs Current
We are now back to the chicken-egg problem in the form of the more general "does voltage cause current or current cause voltage?"
So, how do you manage to 'put' carriers inside the base? The 'voltage control' advocates will say that the only way is by acting on the base emitter voltage - current will ensue as a consequence as some sort of secondary effect - and they will mention the (misnamed, IMO) Shockley equation that relates \$I_C\$ to \$V_{BE}\$ or the actual Shockley equation for the base emitter diode in the form that suits them (not the inverse one). Of course, since voltage and current are the two sides of the same coin, you can find a reasonable explanation in terms of how the voltage between base and emitter will alter the band diagrams - and there is nothing wrong with that.
But it is not the only way: if you accept that reasonably good current sources exists, you can use one to force a current into the base and the carriers this current will provide to the base will make the collector current change accordingly to the \$I_C = \beta I_B\$ approximation.
And of course yes, a voltage will concomitantly be present at the base-emitter terminals: as a matter of fact the current generator provides biasing as well - in the same way you can't have voltage without the corresponding current, you can't have current without the corresponding voltage. The operating point has two coordinates, after all.

A solar cell can act as a reasonably well behaved current source. The output current will be proportional to the luminous flux and if you put that current into the base of a transistor the output transistor current will be proportional to the luminous flux. Why should you worry about Vbe at all? It will necessarily assume the value required to accomodate the Ib you set by illuminating the cell.
So, yes, your intuition is right. You can see the transistor also as working in this way, as a current controlled device.
Some references
And if authority principle is your thing, you can see Streetman, "Solid State Electronics Devices 5e (or 6e or 7e)", for example. It basically says that in order to change the flow of carriers from emitter to collector you need to supply carriers via the base (emphasis mine):
p. 325:
Section 7.2 Amplification with BJTs
[...] Basically, the transistor is useful in amplifiers because the currents at the emitter and collector are controllable by the relatively small base current.
p.327
[...] It remains to be shown that the collector current iC can be controlled by small variations in the base current iB. In the discussion to this point, we have indicated control of iC by the emitter current iE, with the base current characterized as a small side effect. In fact, we can show from space charge neutrality arguments that iB can indeed be used to determine the magnitude of iC.
[...] "Let us consider the transistor [...] in which iB is determined by a biasing circuit. [...] Since the n-type base region is electrostatically neutral between the two transition regions, the presence of excess holes in transit from emitter to collector calls for compensating excess electrons from the base contact. However, there is an important difference in the times that electrons and holes spend in the base. The average excess hole spends a time tau_t, defined as the transit time from the emitter to collector.
Since the base width Wb is made small compared with Lp, this transit time is much less than the average hole lifetime t_p in the base. On the other hand, an average excess electron supplied from the base contact spends t_p seconds in the base supplying space charge neutrality during the lifetime of an average excess hole. While the average electron waits t_p seconds for recombination, many individual holes can enter and leave the base region, each with an average transit time t_t. In particular, for each electron entering from the base contact, t_p > t_t holes can pass from the emitter to collector while maintaining space charge neutrality.
[...] If the electron supply to the base (iB) is restricted, the traffic of holes from the emitter to base is correspondingly reduced. This can be argued simply by supposing that the hole injection does continue despite the restriction on electrons from the base contact. The result would be a net buildup of positive charge in the base and a loss of forward bias (and therefore a loss of hole injection) at the emitter junction. Clearly, the supply of electrons through iB can be used to raise or lower the hole flow from emitter to collector.
The explanation goes on to page 329. You can find a similar one in Hu, "Modern semiconductor devices for integrated circuits", section 8.10 of chapter 8 eecs.berkeley.edu/~hu/Chenming-Hu_ch8.pdf , the section about charge control (emphasis mine):
"In order to sustain a constant excess hole charge in the transistor, holes must be supplied to the transistor through IB to replenish the holes that are lost to recombination. Therefore, DC IB is proportional to QF. When holes are supplied by IB at the rate of QF/τFβF, the rate of hole supply is exactly equal to the rate of hole loss to recombination and QF remains at a constant value."
[...]
"For any given IB(t), Eq. (8.10.4) can be solved for QF(t) analytically or by numerical integration. Once QF(t) is found, IC(t) becomes known from Eq. (8.10.2). We may interpret Eq. (8.10.4) with the analogy of filling a very leaky bucket from a faucet"
And the faucet is Ib, not Ic, or Ie, and neither Vbe.
Another solid state device textbook, "Semiconductor Device Fundamentals" by Pierret has no problems in considering the BJT current controlled:
"Finally, a few words are in order on how the BJT manages to amplify a signal. When connected in the common emitter configuration, the output current is IC, the input current is IB and the DC current gain is IC/IB. IB, an electron current in a pnp BJT, and IC, predominantly a hole current, are tied together through the operation of the EB junction; that is, increasing IB proportionally increases IC. Control of the larger IC by the smaller l
IB is made possible by the coupled junction arrangement that physically divides the small electron and large hole currents crossing the EB junction into two separate current loops"
(and yes, like Streetman and Hu, Pierret knows the Ebers-Moll and Gummel-Poon models)
Yet another one? Here is "Semiconductor Device Physics and Design" by Mishra & Singh:
"In figure 6.5 we show a typical circuit for a BJT in the forward-bias active mode. A change in the base current alters the minority carrier density np in the base and causes a large change in the collector current. The ratio between the collector current and the controlling base current is of great importance since this represents the current amplification."
This is the caption of fig. 6.5. It reads:
"Figure 6.5: A schematic showing how the change in base current affects the majority carrier injection density and the collector current in a bipolar device.
(a) A circuit using a bipolar transistor.
(b) The effect of base current variation on the injected minority charge and the collector current. The collector current is much larger than the base current."
And then, on a more divulgative front, there is Levinshtein & Simin, "Transistors: from crystals to integrated circuit". It is quite colorful in its metaphors and he too, uses a PNP:
"7.1.1 Current amplification
Let a structure with a short base have the base current Ib. Every second N = Ib/q electrons enter the base. Provoked by those electrons, the holes leave the emitter to kill the electrons and die.
Should the base be long, the number of the electrons which might enter the base would be equal to the number of holes coming from the emitter.
But in the structure with a short base it is not so. Part of the holes which enter the base will be intercepted by the field of the collector and will be thrown away from the base. They will have no time to recombine with the electrons. Though all the electrons which enter the base must recombine by all means. They can neither leave the base, nor be stored there. That means that the number of holes which the emitter throws into the base must be greater than the number of the electrons which enter it. So, in spite of the fact that some holes will get to the collector, their number must be sufficient to provide the recombination of all the electrons that enter the base. The thinner the base, the greater the portion of holes which enter the base, is intercepted by the collector."
On a less device oriented front, you can find a description of current control via emitter current in the introductory Senturia & Wedlock, "Electronic Circuits and Applications", p.228, section 9.1.1: "The physical basis of transistor operation: injection, diffusion and collection". And if you want to fold back to a solid physics book from two well respected authors, then there is Eisberg & Resnick "Quantum physics of Atoms, Molecules and Solids 2e".
And if you think that considering voltages as function of currents only happens in 'general textbooks' like Millman above, here is an instance in which two authors used such equations in a paper published on Proceedings of the IRE (Volume 42, issue 12) to model the transistor in saturation:
"In Region III both emitter and collector junctions are forward biased. The collector and emitter are such low impedances that the currents are determined by the external circuit and it is most convenient to consider the currents as independent variables. By this same argument the voltages across the two junctions are seen to be the unknown quantities. These voltages can be obtained from (18) and (19)

It should be recalled from the definitions of PHI_E and PHI_C that they are the voltage of the p material relative to the n material. Hence these equations apply for both n-p-n and p-n-p transistors. [...] Eqs. (27) and (28) lead to the equivalent circuit shown at the top of Fig. 6

What's funny is that this is the original 1954 Ebers and Moll paper "Large-Signal Behavior of Junction Transistors"
Conclusion
Note that I am not advocating exclusive current control for the BJT. Far from it. There is nothing wrong with voltage control: sometimes it is better to see the transistor as a voltage controlled device (for example when you have voltage feedback, or when you make a living out of translinear amplifiers), other times it is better to see it as a current controlled device (when you use it as photodiode front-end or when dealing with current feedback). Other times again, it's better to use a charge-control model (need to compute transit times?). My point is that neither is more fundamental than the other, it's only that some are just more convenient in determinate occasions.
Appendix: a (biased) selection of related posts
There are several posts on this site that try to give an answer to this chicken and egg conundrum (or as someone once wrote "counting angels on the pointed-end of a pin"). Specifically, some of those related to the transistor voltage-control or current-control dilemma (with my inevitable bias) are here
also have a look at this page on Analog Devices website where it says
"The collector emitter current can be viewed as being controlled by the base-emitter current (current control), or by the base-emitter voltage (voltage control). These views are related by the current-voltage relation of the base-emitter junction, which is just the usual exponential current-voltage curve of a PN junction (diode). The physical explanation for collector current is the amount of minority-carrier charge in the base region."
And, since the 'voltage control only' party thesis basically boils down to the belief that only voltage can be the cause of current (which strikes me as particularly ironic, considering that transistor action is due to the phenomenon of diffusion, where a current is linked to gradient in carrier concentration), here are some of the posts about the 'does voltage cause current of current cause voltage' question:
I believe you have now enough information to make up your mind.
I rest my case.