AJN nicely answered (+1) - I'm just putting the following as an answer so i can show detail and pictures.
I find that using Laplace to solve circuit problems algebraically is often times easier than wading through differential equations. I'm much better at algebra than d.e. For example, below i will solve this case for the inductor current:

Transform to Laplace

Now solve using any of our circuits methods/tricks (like source transformation, superposition etc.):
First i'll use source transformation on that current source,

Now solving for the current,
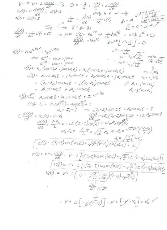
$$ i_1(s) = \frac{{\frac{V}{s}+LI_2+\frac{I_2}{s^2C}}}{sL+\frac{1}{sC}} $$
I'll simplify the above and then use Heavyside's method to expand into partial fractions (to make inverse Laplace transformation easy):
$$ i_1(s) = \frac{sCV+s^2CLI_2+I_2}{s^3CL+s} $$
$$ i_1(s) = \frac{\frac{sV}{L}+s^2I_2+\frac{I_2}{LC}}{s(s^2+\frac{1}{LC})} $$
$$ \frac{\frac{sV}{L}+s^2I_2+\frac{I_2}{LC}}{s(s^2+\frac{1}{LC})} = \frac{A}{s} + \frac{B}{s+j\frac{1}{\sqrt{LC}}}+\frac{C}{s-j\frac{1}{\sqrt{LC}}} $$
$$ A = \left.\frac{\frac{sV}{L}+s^2I_2+\frac{I_2}{LC}}{s^2+\frac{1}{LC}}\right|_{s=0}\ $$
$$ A = I_2 $$
$$ B = \left.\frac{\frac{sV}{L}+s^2I_2+\frac{I_2}{LC}}{s(s-j\frac{1}{\sqrt{LC}})}\right|_{s=-\frac{1}{\sqrt{LC}}}\ $$
$$ B = \frac{jV\sqrt{LC}}{2L} $$
Since the denominator of the B & C fractions are complex conjugates of each other we know that,
$$ C = B^* $$
So, $$ C = \frac{-jV\sqrt{LC}}{2L} $$
Now, we have expanded the equation for the inductor current out into forms we can easily inverse Laplace transform back to time functions,
$$ i_1(s) = \frac{I_2}{s} + \frac{\frac{jV\sqrt{LC}}{2L}}{s+j\frac{1}{\sqrt{LC}}} + \frac{-\frac{jV\sqrt{LC}}{2L}}{s-j\frac{1}{\sqrt{LC}}} $$
Taking the inverse Laplace transform (or looking up in a table):
$$ i_1(t)=I_2e^{-0t} + \frac{jV\sqrt{LC}}{2L}e^{\frac{-j}{\sqrt{LC}}t} - \frac{jV\sqrt{LC}}{2L}e^{\frac{+j}{\sqrt{LC}}t} $$
These last 2 terms we can combine thanks to Euler with this identity:
$$ sin(x) = \frac{e^{jx}-e^{-jx}}{2j} $$
So,
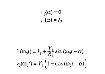
$$ i_1(t) = I_2 + \frac{V\sqrt{LC}}{L}sin(\frac{t}{\sqrt{LC}}) $$
and since the characteristic impedance is,
$$ Z_0 = \sqrt{\frac{L}{C}} $$
we can finally write as,
$$ i_1(t) = I_2 + \frac{V}{Z_0}sin(\frac{t}{\sqrt{LC}}) $$