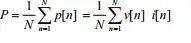
In a single phase meter measurement, the power is being measured by using the instantaneous power which is p(t) = v(t) * i(t). But as we need to sample the voltage and current to get the power, hence it need to be calculated by using this formula:

So is this formula can really measured the real active power without considering the phase angle between V and I? As we all know that active power, P = VIcosθ.
So what is the difference between apparent power measurement, S=VI and active power measurement if the P = VIcosθ is not being implemented?
