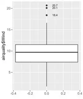
I am working on R inbuilt dataset airquality and its column Wind. I have removed the NA values and I would like to get a boxplot, which should show outliers and their values next to it. I could not find how to add values anywhere in the forums and as it is one column I am working it, there is nothing similar. I have used this:
dataset3<-data1$Wind
qplot(y=dataset3,geom='boxplot')
It produces a boxplot, shows that there are three outliers, but does not include their values next to the points. enter image description here
