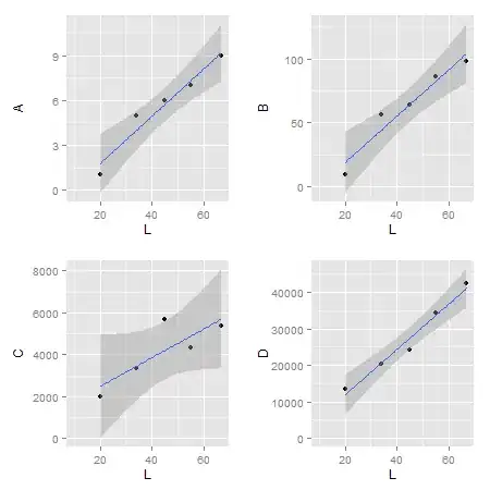
I am trying to use grid.arrange to display multiple graphs on the same page generated by ggplot. The plots use the same x data but with different y variables. The plots come out with differing dimensions due to the y-data having different scales.
I have tried using various theme options within ggplot2 to change the plot size and move the y axis label but none have worked to align the plots. I want the plots arranged in a 2 x 2 square so that each plot is the same size and the x-axes align.
Here is some test data:
A <- c(1,5,6,7,9)
B <- c(10,56,64,86,98)
C <- c(2001,3333,5678,4345,5345)
D <- c(13446,20336,24333,34345,42345)
L <- c(20,34,45,55,67)
M <- data.frame(L, A, B, C, D)
And the code that I am using to plot:
x1 <- ggplot(M, aes(L, A,xmin=10,ymin=0)) + geom_point() + stat_smooth(method='lm')
x2 <- ggplot(M, aes(L, B,xmin=10,ymin=0)) + geom_point() + stat_smooth(method='lm')
x3 <- ggplot(M, aes(L, C,xmin=10,ymin=0)) + geom_point() + stat_smooth(method='lm')
x4 <- ggplot(M, aes(L, D,xmin=10,ymin=0)) + geom_point() + stat_smooth(method='lm')
grid.arrange(x1,x2,x3,x4,nrow=2)
If you run this code, you will see that the bottom two plots have a smaller plot area due to the greater length of the y-axes units.
How do I make the actual plot windows the same?

(Note that cowplot changes the default ggplot2 theme. You can get the gray one back though if you really want to.)


