I'm trying to modify an example of a simple forest plot by introducing facets according to a factor variable.
Assuming data of this structure:
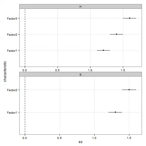
test <- structure(list(characteristic = structure(c(1L, 2L, 3L, 1L, 2L
), .Label = c("Factor1", "Factor2", "Factor3"), class = "factor"),
es = c(1.2, 1.4, 1.6, 1.3, 1.5), ci_low = c(1.1, 1.3, 1.5,
1.2, 1.4), ci_upp = c(1.3, 1.5, 1.7, 1.4, 1.6), label = structure(c(1L,
3L, 5L, 2L, 4L), .Label = c("1.2 (1.1, 1.3)", "1.3 (1.2, 1.4)",
"1.4 (1.3, 1.5)", "1.5 (1.4, 1.6)", "1.6 (1.5, 1.7)"), class = "factor"),
set = structure(c(1L, 1L, 1L, 2L, 2L), .Label = c("H", "S"
), class = "factor")), .Names = c("characteristic", "es",
"ci_low", "ci_upp", "label", "set"), class = "data.frame", row.names = c(NA,
-5L))
And running the code:
p <- ggplot(test, aes(x=characteristic, y=es, ymin=ci_low, ymax=ci_upp)) + geom_pointrange() +
coord_flip() + geom_hline(aes(x=0), lty=2) +
facet_wrap(~ set, ncol = 1) +
theme_bw() +
opts(strip.text.x = theme_text())
Produces output like that:

All good so far. However, I'd like to get rid of empty Factor3 level from my lower panel and cannot find a way to do that. Is there any way to do that?
Thanks for help.
