Phellandrene
| |||
| Names | |||
|---|---|---|---|
| IUPAC names
(α): 2-Methyl-5-(propan-2-yl)cyclohexa-1,3-diene
(β): 3-Methylidene-6-(propan-2-yl)cyclohex-1-ene | |||
| Identifiers | |||
3D model (JSmol)
|
| ||
| ChEBI |
| ||
| ChemSpider | |||
| ECHA InfoCard | 100.014.121 | ||
| EC Number |
| ||
| KEGG | |||
PubChem CID
|
|||
| UNII |
| ||
CompTox Dashboard (EPA)
|
| ||
| |||
| |||
| Properties[1] | |||
| C10H16 | |||
| Molar mass | 136.24 g/mol | ||
| Appearance | Colorless oil (α and β) | ||
| Density | α: 0.846 g/cm3 β: 0.85 g/cm3 | ||
| Boiling point | α: 171-172 °C β: 171-172 °C | ||
| Insoluble (α and β) | |||
| Hazards | |||
| GHS labelling: | |||
![]()
| |||
| Danger | |||
| H226, H304 | |||
| P210, P233, P240, P241, P242, P243, P280, P301+P310, P303+P361+P353, P331, P370+P378, P403+P235, P405, P501 | |||
Except where otherwise noted, data are given for materials in their standard state (at 25 °C [77 °F], 100 kPa).
Infobox references
| |||
Phellandrenes are organic compounds with the formula C10H16. They have a similar molecular structure and similar chemical properties. α-Phellandrene and β-phellandrene are cyclic monoterpenes and are double-bond isomers. In α-phellandrene, both double bonds are endocyclic, and in β-phellandrene, one of them is exocyclic. Both are insoluble in water, but miscible with organic solvents.
Etymology and occurrence
α-Phellandrene was named after Eucalyptus phellandra, now called Eucalyptus radiata, from which it can be isolated.[2] It is also a constituent of the essential oil of Eucalyptus dives.[3] β-Phellandrene has been isolated from the oil of water fennel and Canada balsam oil. The main source of β-phellandrene is terpentine.[4]
β-pinene is a source of β-phellandrene.[4]
Reactions and uses
α-Phellandrene undergoes hydrochlorination to give phellandrene hydrochloride (a cyclohexenyl chloride). Base hydrolysis of this hydrochloride gives piperitol.[4]
The phellandrenes are used in fragrances because of their pleasing aromas. The odor of β-phellandrene has been described as peppery-minty and slightly citrusy.
Like other cyclohexadienes, α-phellandrene reacts with ruthenium trichloride to give (cymene)ruthenium chloride dimer.
Biosynthesis
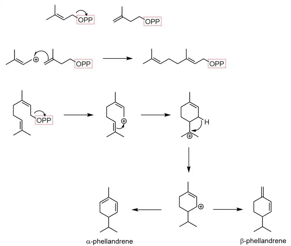
The biosynthesis of phellandrene begins with dimethylallyl pyrophosphate and isopentenyl pyrophosphate condensing in an SN1 reaction to form geranyl pyrophosphate. The resultant monoterpene undergoes cyclization to form a menthyl cationic species. A hydride shift then forms an allylic carbocation. Finally, an elimination reaction occurs at one of two positions, yielding either α-phellandrene or β-phellandrene.[5]
Safety
The α-phellandrene isomer can form hazardous and explosive peroxides on contact with air at elevated temperatures.[6]
References
- ^ The Merck Index, 12th Edition, 7340, 7341
- ^ Jacobs, S.W.L., Pickard, J., Plants of New South Wales, 1981, ISBN 0-7240-1978-2.
- ^ Boland, D. J., Brophy, J. J., and A. P. N. House, Eucalyptus Leaf Oils, 1991, ISBN 0-909605-69-6.
- ^ a b c Sell, Charles S. (2006). "Terpenoids". Kirk-Othmer Encyclopedia of Chemical Technology. doi:10.1002/0471238961.2005181602120504.a01.pub2. ISBN 0471238961.
- ^ Dewick, Paul M. (9 March 2009). Medicinal natural products : a biosynthetic approach (3rd ed.). Chichester, West Sussex, United Kingdom. ISBN 9780470741689. OCLC 259265604.
{{cite book}}: CS1 maint: location missing publisher (link) - ^ Urben, Peter (2007). Bretherick's Handobook of Reactive Chemical Hazards. Vol. 1 (7 ed.). Butterworth-Heinemann. p. 1154.



