PEPITEM
![]() | |
![]() | |
| Identifiers | |
|---|---|
| |
| CAS Number | |
| PubChem CID | |
| Chemical and physical data | |
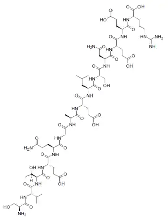
| Formula | C61H101N19O28 |
| Molar mass | 1548.584 g·mol−1 |
| 3D model (JSmol) | |
| |
| |
PEPITEM (Peptide Inhibitor of Trans-Endothelial Migration) is an endogenous polypeptide composed of the 14 amino acids 28–41 of the 14.3.3.ζδ protein, which in turn is a 245 amino-acid product of the YWHAZ gene. It has the sequence SVTEQGAELSNEER. PEPITEM has antiinflammatory effects by inhibiting trafficking of T cells into inflamed tissues. Levels of PEPITEM in the body decline with age, diabetes or rheumatoid arthritis, and decreased PEPITEM levels correlates with increases in chronic inflammation and numerous resulting health issues. Administration of synthetic PEPITEM has been suggested as a treatment for various conditions where inflammation plays a role.[1][2][3][4][5][6][7][8]
References
- ^ Chimen M, McGettrick HM, Apta B, Kuravi SJ, Yates CM, Kennedy A, et al. (May 2015). "Homeostatic regulation of T cell trafficking by a B cell-derived peptide is impaired in autoimmune and chronic inflammatory disease". Nature Medicine. 21 (5): 467–475. doi:10.1038/nm.3842. PMC 4425550. PMID 25894827.
- ^ Matsubara H, Shimizu Y, Arai M, Yamagata A, Ito S, Imakiire T, et al. (April 2020). "PEPITEM/Cadherin 15 Axis Inhibits T Lymphocyte Infiltration and Glomerulonephritis in a Mouse Model of Systemic Lupus Erythematosus". Journal of Immunology. 204 (8): 2043–2052. doi:10.4049/jimmunol.1900213. PMID 32169847.
- ^ Pezhman L, Hopkin SJ, Begum J, Heising S, Nasteska D, Wahid M, et al. (April 2023). "PEPITEM modulates leukocyte trafficking to reduce obesity-induced inflammation". Clinical and Experimental Immunology. 212 (1): 1–10. doi:10.1093/cei/uxad022. PMC 10081110. PMID 36891817.
- ^ Alassiri M, Al Sufiani F, Aljohi M, Alanazi A, Alhazmi AS, Alrfaei BM, et al. (December 2023). "PEPITEM Treatment Ameliorates EAE in Mice by Reducing CNS Inflammation, Leukocyte Infiltration, Demyelination, and Proinflammatory Cytokine Production". International Journal of Molecular Sciences. 24 (24): 17243. doi:10.3390/ijms242417243. PMC 10743148. PMID 38139072.
- ^ Lewis JW, Frost K, Neag G, Wahid M, Finlay M, Northall EH, et al. (May 2024). "Therapeutic avenues in bone repair: Harnessing an anabolic osteopeptide, PEPITEM, to boost bone growth and prevent bone loss". Cell Reports. Medicine. 5 (5): 101574. doi:10.1016/j.xcrm.2024.101574. PMC 11148860. PMID 38776873.
- ^ Hopkin SJ, Nathan P, Pezhman L, Begum J, Manning JE, Quinn LM, et al. (July 2024). "Rejuvenation of leukocyte trafficking in aged mice through PEPITEM intervention". npj Aging. 10 (1): 33. doi:10.1038/s41514-024-00160-6. PMC 11258258. PMID 39025913.
- ^ Alassiri M, Al Sufiani F, Aljohi M, Alanazi A, Alhazmi AS, Alrfaei BM, et al. (2024). "Prophylactic administration of PEPITEM in experimental autoimmune encephalomyelitis delays disease onset, inhibits leukocyte infiltration, and alleviates severity". International Journal of Clinical and Experimental Pathology. 17 (12): 492–505. doi:10.62347/LTAO2386. PMC 11711485. PMID 39802871.
- ^ Saviano A, Apta B, Tull S, Pezhman L, Fatima A, Sevim M, et al. (March 2025). "PEPITEM, its tripeptide pharmacophores and their peptidomimetic analogues regulate the inflammatory response through parenteral and topical dosing in models of peritonitis and psoriasis". Pharmacological Research. 213: 107624. doi:10.1016/j.phrs.2025.107624. PMID 39855372.

