Hannō Station
SI26 Hannō Station 飯能駅 | ||||||||||||||||||||||||||||||||||||||
|---|---|---|---|---|---|---|---|---|---|---|---|---|---|---|---|---|---|---|---|---|---|---|---|---|---|---|---|---|---|---|---|---|---|---|---|---|---|---|
![]() Hannō Station south exit in June 2024 | ||||||||||||||||||||||||||||||||||||||
| General information | ||||||||||||||||||||||||||||||||||||||
| Location | 11-21 Nakachō, Hannō-shi, Saitama-ken 357-0035 Japan | |||||||||||||||||||||||||||||||||||||
| Coordinates | 35°51′05″N 139°19′06″E / 35.8515°N 139.3184°E | |||||||||||||||||||||||||||||||||||||
| Operated by | ||||||||||||||||||||||||||||||||||||||
| Line(s) | ||||||||||||||||||||||||||||||||||||||
| Distance | 43.7 km from Ikebukuro | |||||||||||||||||||||||||||||||||||||
| Platforms | 1 side + 2 island platforms | |||||||||||||||||||||||||||||||||||||
| Connections | Bus stop | |||||||||||||||||||||||||||||||||||||
| Other information | ||||||||||||||||||||||||||||||||||||||
| Station code | SI26 | |||||||||||||||||||||||||||||||||||||
| History | ||||||||||||||||||||||||||||||||||||||
| Opened | 15 April 1915 | |||||||||||||||||||||||||||||||||||||
| Passengers | ||||||||||||||||||||||||||||||||||||||
| FY2019 | 32,929 daily | |||||||||||||||||||||||||||||||||||||
| ||||||||||||||||||||||||||||||||||||||
| ||||||||||||||||||||||||||||||||||||||
Hannō Station (飯能駅, Hannō-eki) is a passenger railway station located in the city of Hannō, Saitama, Japan, operated by the private railway operator Seibu Railway.
Lines
Hannō Station is served by the Seibu Ikebukuro Line from Ikebukuro in Tokyo, with some services inter-running via the Tokyo Metro Yurakucho Line to Shin-Kiba and the Tokyo Metro Fukutoshin Line to Shibuya and onward via the Tokyu Toyoko Line and Minato Mirai Line to Motomachi-Chukagai. Located between Motokaji and Higashi-Hannō, it is 43.7 km from the Ikebukuro terminus.[1] Hannō is a terminating station, with trains continuing to Seibu-Chichibu reversing here.[2]
Station layout

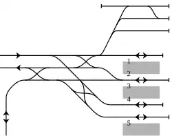
The station consists of one ground-level side platform and two island platforms, serving a total of four terminating tracks.[2]
Platforms
| 1 | for Tokorozawa, Nerima, and Ikebukuro Y Tokyo Metro Yurakucho Line for Shin-Kiba F Tokyo Metro Fukutoshin Line for Shibuya TY Tōkyū Tōyoko Line for Yokohama | |
| 2/3 | for Seibu-Chichibu | |
| 4 | for Tokorozawa, Nerima, and Ikebukuro Y Tokyo Metro Yurakucho Line for Shin-Kiba F Tokyo Metro Fukutoshin Line for Shibuya TY Tōkyū Tōyoko Line for Yokohama | |
| 5 | for Tokorozawa and Ikebukuro (Limited express services) for Seibu-Chichibu (Limited express services) |
History

The station opened on 15 April 1915.[1]
Station numbering was introduced on all Seibu Railway lines during fiscal 2012, with Hannō Station becoming "SI26".[3]
Through-running to and from Yokohama and Motomachi-Chukagai via the Tokyu Toyoko Line and Minatomirai Line commenced on 16 March 2013.[4]
Passenger statistics
In fiscal 2019, the station was the 30th busiest on the Seibu network with an average of 32,929 passengers daily.[5] The passenger figures for previous years are as shown below.
| Fiscal year | Daily average |
|---|---|
| 2000 | 37,156[1] |
| 2009 | 34,106[6] |
| 2010 | 32,932[7] |
| 2011 | 32,293[8] |
| 2012 | 32,463[9] |
| 2013 | 32,897[9] |
Surrounding area
North exit
- Higashi-Hannō Station
National Route 299- Seibou Gakuen High School & Junior High School
- Saitama Prefectural Hannō High School
South exit
See also
References
- ^ a b c Terada, Hirokazu (July 2002). データブック日本の私鉄 [Databook: Japan's Private Railways]. Japan: Neko Publishing. p. 201. ISBN 4-87366-874-3.
- ^ a b Kawashima, Ryozo (February 2011). 日本の鉄道 中部ライン 全線・全駅・全配線 第11巻 埼玉南部・東京多摩北部 [Railways of Japan - Chubu Line - Lines/Stations/Track plans - Vol 11 Southern Saitama and Northern Tama Tokyo]. Japan: Kodansha. pp. 19–73. ISBN 978-4-06-270071-9.
- ^ 西武線全駅で駅ナンバリングを導入します [Station numbering to be introduced at all Seibu stations] (PDF). News Release (in Japanese). Japan: Seibu Railway. 23 February 2012. Archived from the original (PDF) on 2015-09-24. Retrieved 22 February 2013.
- ^ 東急東横線・メトロ副都心線相互直通、16日スタート [Tokyu Toyoko Line and Tokyo Metro Fukutoshin Line inter-running to start on 16 March]. Nikkei.com (in Japanese). Japan: Nikkei Inc. 15 March 2013. Retrieved 2 April 2013.
- ^ 駅別乗降人員(2019年度1日平均 [Average daily station usage figures (fiscal 2019)] (PDF) (in Japanese). Japan: Seibu Railway. Retrieved 6 January 2021.
- ^ 駅別乗降人員 2010(平成22)年度 1日平均 [Average daily station usage figures (fiscal 2010)] (PDF) (in Japanese). Japan: Seibu Railway. Archived from the original (PDF) on 26 June 2011. Retrieved 22 February 2013.
- ^ 各駅の乗車人員 (2010年度) [Station passenger figures (Fiscal 2010)] (in Japanese). Japan: East Japan Railway Company. Retrieved 22 February 2013.
- ^ 駅別乗降人員 2011(平成23)年度 1日平均 [Average daily station usage figures (fiscal 2011)] (PDF) (in Japanese). Japan: Seibu Railway. Archived from the original (PDF) on 1 November 2012. Retrieved 22 February 2013.
- ^ a b 駅別乗降人員 2013(平成25)年度 1日平均 [Average daily station usage figures (fiscal 2013)] (PDF) (in Japanese). Japan: Seibu Railway. Archived from the original (PDF) on 14 July 2014. Retrieved 22 June 2014.
External links
Media related to Hannō Station at Wikimedia Commons
- Hannō Station information (Seibu Railway) (in Japanese)
- Hannō Station information (Saitama Prefectural Government) (in Japanese)

