Bucindolol
![]() | |
| Clinical data | |
|---|---|
| ATC code |
|
| Identifiers | |
| |
| CAS Number | |
| PubChem CID | |
| ChemSpider | |
| UNII | |
| ChEMBL | |
| CompTox Dashboard (EPA) | |
| ECHA InfoCard | 100.114.291 |
| Chemical and physical data | |
| Formula | C22H25N3O2 |
| Molar mass | 363.461 g·mol−1 |
| 3D model (JSmol) | |
| |
Bucindolol is a non-selective beta blocker with additional weak alpha-blocking properties and intrinsic sympathomimetic activity in some model systems[1][2] but not in human hearts.[3][4] It was under review by the FDA in the United States for the treatment of heart failure in 2009, but was rejected due to issues pertaining to integrity of data submitted.[5]
Synthesis
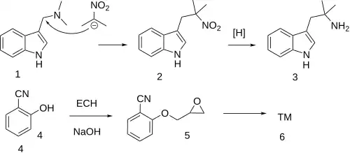
The displacement of the dimethylamino group in gramine (1) by the anion from 2-nitropropane gives 3-(2-methyl-2-nitropropyl)indole (2), which is reduced to the amine alpha,alpha-dimethyltryptamine (3). Separately, the reaction of 2-hydroxybenzonitrile (4) with epichlorohydrin gives the epoxide (5). Combination of the two intermediates (3) and (5) gives bucindolol.[6][7]
See also
References
- ^ Reinhart KM, White CM (June 2009). "Bucindolol: a beta-blocker for the treatment of heart failure". Formulary. 44 (6): 166. Archived from the original on 2012-03-04.
- ^ Willette RN, Mitchell MP, Ohlstein EH, Lukas MA, Ruffolo RR (January 1998). "Evaluation of intrinsic sympathomimetic activity of bucindolol and carvedilol in rat heart". Pharmacology. 56 (1): 30–36. doi:10.1159/000028179. PMID 9467185. S2CID 46848815.
- ^ Bristow MR, Roden RL, Lowes BD, Gilbert EM, Eichhorn EJ (December 1998). "The role of third-generation beta-blocking agents in chronic heart failure". Clinical Cardiology. 21 (12 Suppl 1): I3-13. doi:10.1002/clc.4960211303. PMC 6656140. PMID 9853189.
- ^ Hershberger RE, Wynn JR, Sundberg L, Bristow MR (June 1990). "Mechanism of action of bucindolol in human ventricular myocardium". Journal of Cardiovascular Pharmacology. 15 (6): 959–967. doi:10.1097/00005344-199006000-00014. PMID 1694919.
- ^ Husten L (2 June 2009). "FDA rejects bucindolol and questions trial integrity". CardioBrief.
- ^ US 4234595, Kreighbaum WE, Comer WT, "3-Indolyl-tertiary butylaminopropanols", issued 18 November 1980, assigned to Mead Johnson & Company
- ^ Kreighbaum WE, Matier WL, Dennis RD, Minielli JL, Deitchman D, Perhach JL, et al. (March 1980). "Antihypertensive indole derivatives of phenoxypropanolamines with beta-adrenergic receptor antagonist and vasodilating activity". Journal of Medicinal Chemistry. 23 (3): 285–289. doi:10.1021/jm00177a015. PMID 6102605.

