Buchdahl's theorem

In general relativity, Buchdahl's theorem, named after Hans Adolf Buchdahl,[1] makes more precise the notion that there is a maximal sustainable density for ordinary gravitating matter. It gives an inequality between the mass and radius that must be satisfied for static, spherically symmetric matter configurations under certain conditions. In particular, for areal radius , the mass must satisfy
where is the gravitational constant and is the speed of light. This inequality is often referred to as Buchdahl's bound. The bound has historically also been called Schwarzschild's limit as it was first noted by Karl Schwarzschild to exist in the special case of a constant density fluid.[2] However, this terminology should not be confused with the Schwarzschild radius which is notably smaller than the radius at the Buchdahl bound.
Theorem
Given a static, spherically symmetric solution to the Einstein equations (without cosmological constant) with matter confined to a real radius that behaves as a perfect fluid with a density that does not increase outwards. (An areal radius corresponds to a sphere of surface area . In curved spacetime the proper radius of such a sphere is not necessarily .) Assumes in addition that the density and pressure cannot be negative. The mass of this solution must satisfy
For his proof of the theorem, Buchdahl uses the Tolman-Oppenheimer-Volkoff (TOV) equation.
Significance
The Buchdahl theorem is useful when looking for alternatives to black holes. Such attempts are often inspired by the information paradox; a way to explain (part of) the dark matter; or to criticize that observations of black holes are based on excluding known astrophysical alternatives (such as neutron stars) rather than direct evidence. However, to provide a viable alternative it is sometimes needed that the object should be extremely compact and in particular violate the Buchdahl inequality. This implies that one of the assumptions of Buchdahl's theorem must be invalid. A classification scheme can be made based on which assumptions are violated.[3]
Special Cases
Incompressible fluid
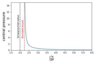
The special case of the incompressible fluid or constant density, for , is a historically important example as, in 1916, Schwarzschild noted for the first time that the mass could not exceed the value for a given radius or the central pressure would become infinite. It is also a particularly tractable example. Within the star one finds.[4]
and using the TOV-equation
such that the central pressure, , diverges as .
Extensions
Extensions to Buchdahl's theorem generally either relax assumptions on the matter or on the symmetry of the problem. For instance, by introducing anisotropic matter [5][6] or rotation.[7] In addition one can also consider analogues of Buchdahl's theorem in other theories of gravity [8][9]
References
- ^ Buchdahl, H.A. (15 November 1959). "General relativisitc fluid spheres". Physical Review. 116 (4): 1027–1034. doi:10.1103/PhysRev.116.1027.
- ^ Grøn, Øyvind (2016). "Celebrating the centenary of the Schwarzschild solutions". American Journal of Physics. 84 (537). doi:10.1119/1.4944031. hdl:10642/4278.
- ^ Cardoso, Vitor; Pani, Paolo (2019). "Testing the nature of dark compact objects: a status report". Living Reviews in Relativity. 22 (1). arXiv:1904.05363. doi:10.1007/s41114-019-0020-4.
- ^ Carroll, Sean M. (2004). Spacetime and Geometry: An Introduction to General Relativity. San Francisco: Addison-Wesley. ISBN 978-0-8053-8732-2.
- ^ Ivanov, Boiko (2002). "Maximum bounds on the surface redshift of anisotropic stars". Physical Review D. 65 (10): 14011. arXiv:gr-qc/0201090. doi:10.1103/PhysRevD.65.104011.
- ^ Barraco, Daniel; Hamity, Victor; Gleiser, Reinaldo (2003). "Anisotropic spheres in general relativity reexamined". Physical Review D. 67 (6): 064003. doi:10.1103/PhysRevD.67.064003.
- ^ Klenk, Jürgen (1998). "Geometric properties of rotating stars in general relativity". Classical and Quantum Gravity. 15 (10): 3203. doi:10.1088/0264-9381/15/10/021.
- ^ Rituparno, Goswami; Maharaj, Sunil; Nzioki, Anne Marie (2015). "Buchdahl-Bondi limit in modified gravity: packing extra effective mass in relativistic compact stars". Physical Review D. 92 (6): 064002. doi:10.1103/10.1103/PhysRevD.92.064002.
- ^ Feng, W.-X.; Geng, C.-Q.; Luo, L.-W. (2019). "The Buchdahl stability bound in Eddington-inspired Born-Infeld gravity". Chinese Physics C. 43 (8): 083107. arXiv:1810.06753. doi:10.1088/1674-1137/43/8/083107.