Aluminylene

Aluminylenes are a sub-class of aluminium(I) compounds that feature singly-coordinated aluminium atoms with a lone pair of electrons. As aluminylenes exhibit two unoccupied orbitals, they are not strictly aluminium analogues of carbenes until stabilized by a Lewis base to form aluminium(I) nucleophiles. The lone pair and two empty orbitals on the aluminium allow for ambiphilic bonding where the aluminylene can act as both an electrophile and a nucleophile. Aluminylenes have also been reported under the names alumylenes and alanediyl.
The +1 oxidation state for aluminium is less stable than heavier group 13 elements, but the lower stability and higher reactivity of aluminium(I) compounds make for interesting chemistry. The first aluminium(I) compound to be isolated was Dohmeier's (AlCp*)4 which existed as a tetrameric solid but dissociated in solution to the monomer.[1] This was followed by Roesky's synthesis of a doubly coordinated aluminium(I) and nitrogen heterocycle analogous to an aluminium Arduengo carbene.[2] Despite some rich aluminium(I) chemistry following those discoveries, it wasn't until 2020 that a free (not Lewis base stabilized) aluminylene was synthesized.
Free aluminylenes

Simple aluminylenes have been studied but are highly reactive and only exist in the gas phase under extreme conditions.[3][4][5] The first free aluminylene came from Tuononen and Power, who used bulky terphenyl ligands to stabilize the reduction of the aluminium(III) diiodide. The isolated arylaluminylene formed thermally stable yellow-orange crystals that were characterized via X-ray crystallography and NMR spectroscopy. The aluminylene demonstrated more reactivity than its gallium analogue and quickly formed an aluminium hydride upon reaction with hydrogen gas.[6]

Soon after, Liu and coworkers as well as Hinz and coworkers separately synthesized a free nitrogen bound aluminylenes that was stabilized with the use of bulky carbazolyl ligands.[7][8] While also thermally stable, the N-aluminylene was extremely sensitive to air and water. Part of the stability of the N-aluminylene is based on slight pi-donation from the nitrogen atom, facilitated by the planar nature of the molecule. This conclusion is supported by electronic structure calculations and a slightly shorter N-Al bond distance than would be expected for a N-Al single bond.[8] Both free aluminylenes largely depend on the steric bulk of their ligands for kinetic protection, a common motif in stabilizing reactive main group complexes.[9][10]
Reactivity
The ambiphilic nature of aluminylenes, as well as the reactivity of aluminium(I) complexes more generally, allows for aluminylenes to participate in a diverse range of reactions. Natural Bond Orbital (NBO) calculations showed that the frontier orbitals of these aluminylenes matched expectations with the aluminium lone pair as the HOMO and a largely aluminium p-orbital based LUMO.[6][8][9]
Redox reactions

Power's aluminylene was shown to react with organic azides to create aluminium(III) imides. In a reaction with ArMe6N3, the terphenyl aluminylene was able to form an Al-N triple bond, a conclusion supported by the shortest reported Al-N bond distances (1.625Å). This aluminylene also reacted with less bulky azides, but the lack of steric protection meant that a second equivalent of azide reacted to give a multiply coordinated aluminium(III) compound.[11]

The N-aluminylene reported by Liu and coworkers was shown to undergo an oxidative insertion reaction when mixed with IDippCuCl (IDipp=1,3-bis(2,6-diisopropylphenyl)imidazol-2-ylidene) to form a terminal copper-alumanyl complex.[8]

Liu also demonstrated that the N-aluminylene could act as an important precursor to organoaluminium compounds. In these reactions, the aluminylene performs cycloaddition with unsaturated hydrocarbons to create aluminium heterocycles. Subsequently, the Al-N bond can be cleaved using a nucleophilic salt to free the newly formed organoaluminium compound.[9][12]

In 2023, Liu and coworkers published further examples of the reactivity of their N-aluminylene as they attempted to react the compound with various boron based Lewis acids. Upon reaction with Ph2BOBPh2, the aluminylene formed a tricoordinate species featuring new aluminium-boron and aluminium-oxygen bonds. This free alumaborane was characterized via 11B NMR and showed two three-coordinate boron atoms, an observation further supported by x-ray crystallography data. The formation of Lewis adducts was also observed when the aluminylene was mixed with strong Lewis acids such as BCF (Tris(pentafluorophenyl)borane) and Piers’ borane (HB(C6F5)2).[13][14]
Lewis base stabilized aluminylenes
In addition to free aluminylenes, there have been several attempts to further stabilize these reactive species through the coordination of another Lewis base. Transient versions of these compounds have been reported on the way to other products via coordination with N-heterocyclic Carbenes (NHCs) and amidophosphines.[15][16] However, in 2022 Liu and coworkers were able to form an adduct between their N-aluminylene and an NHC, a combination that demonstrated increased reactivity compared to the free aluminylene. They explained this with Density Functional Theory calculations at the M06-2X/def2-SVP level showing that the NHC coordination narrowed of the HOMO-LUMO gap by raising the energy of the aluminium lone pair (HOMO). This aluminylene-NHC adduct was then shown to activate otherwise unreactive arene species to initiate ring expansions.[17]
Aluminylene coordination chemistry

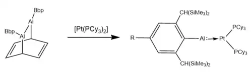
Aluminylenes have also demonstrated the ability to act as ligands and coordinate to transition metal centers. Tokitoh demonstrated multiple methods for using dialumene starting materials to create an arylaluminylene platinum complexes. NBO calculations showed that the Al-Pt bond showed a large degree of electrostatic interaction, supplemented by sigma donation from the aluminium and pi-backbonding from the platinum.[18]

The N-aluminylene reported by Liu, also demonstrated an ability to coordinate to metal atoms. UV irradiation of tungsten hexacarbonyl in the presence of the N-aluminylene created an aluminylene-W(CO)5 compound. Furthermore, treatment of the N-aluminylene with W(CO)6 and Cr(CO)6 in coordinating solvents such as THF and DMAP also formed the aluminylene-transition metal complexes. In these cases, the aluminylene was stabilized by having a THF molecule or two DMAP molecules donate their lone pairs into the aluminylenes empty orbitals. Intrinsic Bond Orbital calculations showed a significant degree of pi-backbonding from the aluminylene in the tungsten and chromium complexes, which added further stabilization.[8]
References
- ^ Dohmeier, Carsten; Robl, Christian; Tacke, Matthias; Schnöckel, Hansgeorg (May 1991). "The Tetrameric Aluminum( I ) Compound [{Al(η 5 ‐C 5 Me 5 )} 4 ]". Angewandte Chemie International Edition in English. 30 (5): 564–565. doi:10.1002/anie.199105641. ISSN 0570-0833.
- ^ Cui, Chunming; Roesky, Herbert W.; Schmidt, Hans-Georg; Noltemeyer, Mathias; Hao, Haijun; Cimpoesu, Fanica (2000-12-01). "Synthesis and Structure of a Monomeric Aluminum(I) Compound [{HC(CMeNAr)2}Al] (Ar=2,6–iPr2C6H3): A Stable Aluminum Analogue of a Carbene". Angewandte Chemie. 39 (23): 4274–4276. doi:10.1002/1521-3773(20001201)39:23<4274::AID-ANIE4274>3.0.CO;2-K. PMID 29711904.
- ^ Mocker, Mario; Robl, Christian; Schnöckel, Hansgeorg (1994-09-16). "Donor‐Stabilized Aluminum( I ) Bromide". Angewandte Chemie International Edition in English. 33 (17): 1754–1755. doi:10.1002/anie.199417541. ISSN 0570-0833.
- ^ Ecker, Achim; Schnöckel, Hansgeorg (January 1996). "Donorstabilisiertes Aluminium(I)‐iodid". Zeitschrift für anorganische und allgemeine Chemie. 622 (1): 149–152. doi:10.1002/zaac.19966220120. ISSN 0044-2313.
- ^ Himmel, Hans-Jörg; Bahlo, Jan; Haussmann, Michael; Kurth, Fabian; Stösser, Gregor; Schnöckel, Hansgeorg (2002-09-01). "Matrix Reactivity of AlF and AlCl in the Presence of HCl and HBr: Generation and Characterization of the New Al(III) Hydrides HAlFCl, HAlFBr, and HAlClBr and the Monomeric Mixed Al(III) Halides AlX 2 Y (X, Y = F, Cl, or Br)". Inorganic Chemistry. 41 (19): 4952–4960. doi:10.1021/ic020275a. ISSN 0020-1669. PMID 12230400.
- ^ a b Queen, Joshua D.; Lehmann, Annika; Fettinger, James C.; Tuononen, Heikki M.; Power, Philip P. (2020-12-09). "The Monomeric Alanediyl : AlAr i Pr8 (Ar i Pr8 = C 6 H-2,6-(C 6 H 2 -2,4,6-Pr i 3 ) 2 -3,5-Pr i 2 ): An Organoaluminum(I) Compound with a One-Coordinate Aluminum Atom". Journal of the American Chemical Society. 142 (49): 20554–20559. doi:10.1021/jacs.0c10222. ISSN 0002-7863. PMID 33226797.
- ^ Hinz, Alexander; Müller, Maximilian P. (2021-11-23). "Attempted reduction of a carbazolyl-diiodoalane". Chemical Communications. 57 (93): 12532–12535. doi:10.1039/D1CC05557G. ISSN 1364-548X. PMID 34751692.
- ^ a b c d e Zhang, Xin; Liu, Liu Leo (2021-12-20). "A Free Aluminylene with Diverse σ‐Donating and Doubly σ/π‐Accepting Ligand Features for Transition Metals**". Angewandte Chemie International Edition. 60 (52): 27062–27069. doi:10.1002/anie.202111975. ISSN 1433-7851. PMID 34614275.
- ^ a b c Zhang, Xin; Mei, Yanbo; Liu, Liu Leo (2022-11-11). "Free Aluminylenes: An Emerging Class of Compounds". Chemistry – A European Journal. 28 (63): e202202102. doi:10.1002/chem.202202102. ISSN 0947-6539. PMID 35942883.
- ^ Coles, Martyn P.; Evans, Matthew J. (2023-01-12). "The emerging chemistry of the aluminyl anion". Chemical Communications. 59 (5): 503–519. doi:10.1039/D2CC05963K. ISSN 1364-548X. PMID 36541674. S2CID 254477794.
- ^ Queen, Joshua D.; Irvankoski, Sini; Fettinger, James C.; Tuononen, Heikki M.; Power, Philip P. (2021-05-05). "A Monomeric Aluminum Imide (Iminoalane) with Al–N Triple-Bonding: Bonding Analysis and Dispersion Energy Stabilization". Journal of the American Chemical Society. 143 (17): 6351–6356. doi:10.1021/jacs.1c02463. ISSN 0002-7863. PMC 8154528. PMID 33882237.
- ^ Zhang, Xin; Wang, Hongyu; Lan, Xiaofang; Mei, Yanbo; Ruiz, David A.; Liu, Liu Leo (September 2023). "Transfer of an Aluminum Atom: An Avenue to Aluminum Heterocycles". CCS Chemistry. 5 (9): 2059–2068. doi:10.31635/ccschem.022.202202406. ISSN 2096-5745.
- ^ Zhang, Xin; Liu, Liu Leo (September 2023). "Reactivity of a Free Aluminylene towards Boron Lewis Acids: Accessing Aluminum‐Boron‐Bonded Species". European Journal of Inorganic Chemistry. 26 (25). doi:10.1002/ejic.202300157. ISSN 1434-1948. S2CID 258381061.
- ^ Parks, Daniel J.; von H. Spence, Rupert E.; Piers, Warren E. (1995-04-13). "Bis(pentafluorophenyl)borane: Synthesis, Properties, and Hydroboration Chemistry of a Highly Electrophilic Borane Reagent". Angewandte Chemie International Edition in English. 34 (7): 809–811. doi:10.1002/anie.199508091. ISSN 0570-0833.
- ^ Dhara, Debabrata; Jayaraman, Arumugam; Härterich, Marcel; Dewhurst, Rian D.; Braunschweig, Holger (2022-05-18). "Generation of a transient base-stabilised arylalumylene for the facile deconstruction of aromatic molecules". Chemical Science. 13 (19): 5631–5638. doi:10.1039/D2SC01436J. ISSN 2041-6539. PMC 9116349. PMID 35694334.
- ^ Falconer, Rosalyn L.; Byrne, Keelan M.; Nichol, Gary S.; Krämer, Tobias; Cowley, Michael J. (2021-11-08). "Reversible Dissociation of a Dialumene**". Angewandte Chemie International Edition. 60 (46): 24702–24708. doi:10.1002/anie.202111385. ISSN 1433-7851. PMC 8596890. PMID 34520616.
- ^ Zhang, Xin; Liu, Liu Leo (2022-03-14). "Modulating the Frontier Orbitals of an Aluminylene for Facile Dearomatization of Inert Arenes**". Angewandte Chemie International Edition. 61 (12): e202116658. doi:10.1002/anie.202116658. ISSN 1433-7851. PMID 35005825.
- ^ Nagata, Koichi; Agou, Tomohiro; Tokitoh, Norihiro (2014-04-07). "Syntheses and Structures of Terminal Arylalumylene Complexes". Angewandte Chemie International Edition. 53 (15): 3881–3884. doi:10.1002/anie.201310559. hdl:2433/199593. ISSN 1433-7851. PMID 24616148. S2CID 38675895.