Altanserin
![]() | |
| Clinical data | |
|---|---|
| ATC code |
|
| Identifiers | |
| |
| CAS Number | |
| PubChem CID | |
| ChemSpider | |
| UNII | |
| ChEMBL | |
| CompTox Dashboard (EPA) | |
| ECHA InfoCard | 100.071.272 |
| Chemical and physical data | |
| Formula | C22H22FN3O2S |
| Molar mass | 411.50 g·mol−1 |
| 3D model (JSmol) | |
| |
| |
| (verify) | |
Altanserin is a compound that binds to the 5-HT2A receptor (5-Hydroxytryptamine (serotonin) 2A receptor). Labeled with the isotope fluorine-18 it is used as a radioligand in positron emission tomography (PET) studies of the brain, i.e., studies of the 5-HT2A neuroreceptors. Besides human neuroimaging studies altanserin has also been used in the study of rats.[1][2]
An alternative for PET imaging the 5-HT2A receptor is the [11C]volinanserin (MDL-100,907) radioligand. 18F-altanserin and 3H-volinanserin have shown very comparable binding.[3] Both altanserin and MDL 100,907 are 5-HT2A receptor antagonists.[3] [18F]-setoperone can also be used in PET.
An alternative SPECT radioligand is the [123I]-5-I-R91150 receptor antagonist.[4]
A rapid chemical synthesis of fluorine-18 and H-2 dual-labeled altanserin has been described.[5]
Other ligands for other parts of the serotonin system used in PET studies are, e.g., DASB, ketanserin, and WAY-100635.
Human brain mapping studies with altanserin

As of 2007 altanserin is probably not used in clinical routine. However, there have been performed several research-based neuroimaging studies with the compound in humans since the 1990s.[6][7] Some of these studies have considered methodogical issues such as the reproducibility of the method[8][9] or whether to use constant infusion[10] or bolus-infusion[11] delivery of altanserin. Other studies have compared altanserin binding to subject variables such as age, personality trait and neuropsychiatric disorder.
The altanserin PET scan shows high binding in neocortex. The cerebellum is often regarded as a region with no specific 5-HT2A binding and the brain region is used as a reference in some studies, even though an autoradiography study has found nonnegligible levels of 5-HT2A binding in the human cerebellum,[12] and another type of study have observed strong immunoreaction against 5-HT2A receptor protein in rat Purkinje cells.[13]
In the table below is an overview of the results of altanserin binding seen in human PET-studies. A consistent finding across altanserin studies has been that the binding decreases with age. This is in line with in vitro studies of the 5-HT2A receptor,[14] as well as PET studies with other radioligands that binds to the receptor.[15]
The result for recovered bulimia-type anorexia nervosa[16] is in line with a SPECT study of anorexia nervosa patients, that found a decrease in frontal, occipital and parietal cortices.[4] The results of PET studies of the 5-HT2A in depression has been mixed.[17]
Altanserin binding has also been examine in twins, where one study showed higher correlation between monozygotic twin pairs than between dizygotic twin pairs, giving evidence that the binding is "strongly genetically determined".[18]
| What | Result | Reference |
|---|---|---|
| Gender | Higher binding in men | [19] |
| Body mass index | Correlation in cortex | [20] |
| Neuroticism (NEO PI-R) | Increase in frontolimbic region | [21] |
| Tourette syndrome | Increase | [22] |
| Obsessive-compulsive disorder | Increase in caudate nuclei | [23] |
| (Recovered) bulimia-type anorexia nervosa | Decrease in left subgenual cingulate, left parietal cortex and right occipital cortex | [16] |
| Unipolar depression | Decrease in a region in right hemisphere (posterolateral orbitofrontal cortex and the anterior insular cortex) | [24] |
| Major depressive disorder | Decrease in hippocampus | [25] |
| Older depressed patients | Decrease in hippocampus | [26] |
| Borderline personality disorder | Increase in hippocampus | [27] |
| Schizophrenia | No significant cortical difference, higher binding in caudate | [28] |
| At-risk mental state | Decrease | [29] See also [30] |
| Age | Decrease | [31] |
| Age | Decrease | [32] |
| Age | Decrease in cortical regions (except occipital), increase in cerebellum | [33] |
| Mild cognitive impairment | Decrease | [34] |
| Alzheimer's disease | Decrease in amygdalo-hippocampal complex and cortical regions, such as anterior cingulate, lateral temporal cortex, prefrontal cortex and sensorimotor cortex | [35] |
Synthesis

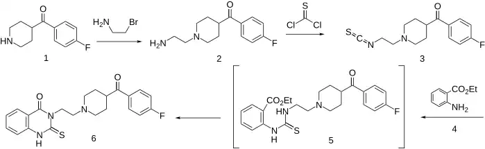
The reaction of 4-(4-fluorobenzoyl)piperidine [56346-57-7] (1) with 2-bromoethylamine [107-09-5] gives [1-(2-aminoethyl)piperidin-4-yl]-(4-fluorophenyl)methanone [83763-22-8] (2). The reaction of the terminal amino group with thiophosgene [463-71-8] leads to the corresponding isothiocyanate derivative, 4-fluorophenyl 1-(2-isothiocyanatoethyl)piperidin-4-yl ketone [84946-22-5] (3). Upon reaction of this reactive intermediate with ethyl anthranilate [87-25-2] (4), the transient addition product might be expected to be initially formed (5'). An intramolecular lactamization to the heterocyclic ring then occurs giving altanserin (6).
See also
References
- ^ Lemaire C, Cantineau R, Guillaume M, Plenevaux A, Christiaens L (December 1991). "Fluorine-18-altanserin: a radioligand for the study of serotonin receptors with PET: radiolabeling and in vivo biologic behavior in rats". Journal of Nuclear Medicine. 32 (12): 2266–2272. PMID 1744713.
- ^ Biver F, Lotstra F, Monclus M, Dethy S, Damhaut P, Wikler D, et al. (May 1997). "In vivo binding of [18F]altanserin to rat brain 5HT2 receptors: a film and electronic autoradiographic study". Nuclear Medicine and Biology. 24 (4): 357–360. doi:10.1016/s0969-8051(97)00054-1. hdl:2268/144404. PMID 9257335.
- ^ a b Kristiansen H, Elfving B, Plenge P, Pinborg LH, Gillings N, Knudsen GM (December 2005). "Binding characteristics of the 5-HT2A receptor antagonists altanserin and MDL 100907". Synapse. 58 (4): 249–257. doi:10.1002/syn.20205. PMID 16206185. S2CID 19110277.
- ^ a b Audenaert K, Van Laere K, Dumont F, Vervaet M, Goethals I, Slegers G, et al. (February 2003). "Decreased 5-HT2a receptor binding in patients with anorexia nervosa". Journal of Nuclear Medicine. 44 (2): 163–169. PMID 12571204.
- ^ a b Tan PZ, Baldwin RM, Fu T, Charney DS, Innis RB (1999). "Rapid synthesis of F-18 and H-2 dual-labeled altanserin, a metabolically resistant PET ligand for 5-HT2a receptors". Journal of Labelled Compounds and Radiopharmaceuticals. 42 (5): 457–467. doi:10.1002/(SICI)1099-1344(199905)42:5<457::AID-JLCR206>3.0.CO;2-0. ISSN 0362-4803.
- ^ Biver F, Goldman S, Luxen A, Monclus M, Forestini M, Mendlewicz J, Lotstra F (September 1994). "Multicompartmental study of fluorine-18 altanserin binding to brain 5HT2 receptors in humans using positron emission tomography". European Journal of Nuclear Medicine. 21 (9): 937–946. doi:10.1007/BF00238117. PMID 7995287. S2CID 20200751.
- ^ Sadzot B, Lemaire C, Maquet P, Salmon E, Plenevaux A, Degueldre C, et al. (September 1995). "Serotonin 5HT2 receptor imaging in the human brain using positron emission tomography and a new radioligand, [18F]altanserin: results in young normal controls". Journal of Cerebral Blood Flow and Metabolism. 15 (5): 787–797. doi:10.1038/jcbfm.1995.99. PMID 7673371. S2CID 36870327.
- ^ Smith GS, Price JC, Lopresti BJ, Huang Y, Simpson N, Holt D, et al. (December 1998). "Test-retest variability of serotonin 5-HT2A receptor binding measured with positron emission tomography and [18F]altanserin in the human brain". Synapse. 30 (4): 380–392. doi:10.1002/(SICI)1098-2396(199812)30:4<380::AID-SYN5>3.0.CO;2-U. PMID 9826230. S2CID 1297178.
- ^ Haugbøl S, Pinborg LH, Arfan HM, Frøkjaer VM, Madsen J, Dyrby TB, et al. (June 2007). "Reproducibility of 5-HT2A receptor measurements and sample size estimations with [18F]altanserin PET using a bolus/infusion approach". European Journal of Nuclear Medicine and Molecular Imaging. 34 (6): 910–915. doi:10.1007/s00259-006-0296-y. PMID 17195073. S2CID 1828118.
- ^ van Dyck CH, Tan PZ, Baldwin RM, Amici LA, Garg PK, Ng CK, et al. (February 2000). "PET quantification of 5-HT2A receptors in the human brain: a constant infusion paradigm with [18F]altanserin". Journal of Nuclear Medicine. 41 (2): 234–241. PMID 10688105.
- ^ Pinborg LH, Adams KH, Svarer C, Holm S, Hasselbalch SG, Haugbøl S, et al. (August 2003). "Quantification of 5-HT2A receptors in the human brain using [18F]altanserin-PET and the bolus/infusion approach". Journal of Cerebral Blood Flow and Metabolism. 23 (8): 985–996. doi:10.1097/01.WCB.0000074092.59115.23. PMID 12902843. S2CID 6262998.
- ^ Eastwood SL, Burnet PW, Gittins R, Baker K, Harrison PJ (November 2001). "Expression of serotonin 5-HT(2A) receptors in the human cerebellum and alterations in schizophrenia". Synapse. 42 (2): 104–114. doi:10.1002/syn.1106. PMID 11574947. S2CID 40304220.
- ^ Maeshima T, Shutoh F, Hamada S, Senzaki K, Hamaguchi-Hamada K, Ito R, Okado N (August 1998). "Serotonin2A receptor-like immunoreactivity in rat cerebellar Purkinje cells". Neuroscience Letters. 252 (1): 72–74. doi:10.1016/S0304-3940(98)00546-1. PMID 9756362. S2CID 28549709.
- ^ Marcusson JO, Morgan DG, Winblad B, Finch CE (October 1984). "Serotonin-2 binding sites in human frontal cortex and hippocampus. Selective loss of S-2A sites with age". Brain Research. 311 (1): 51–56. doi:10.1016/0006-8993(84)91397-0. PMID 6488044. S2CID 1203974.
- ^ Wong DF, Wagner HN, Dannals RF, Links JM, Frost JJ, Ravert HT, et al. (December 1984). "Effects of age on dopamine and serotonin receptors measured by positron tomography in the living human brain". Science. 226 (4681): 1393–1396. Bibcode:1984Sci...226.1393W. doi:10.1126/science.6334363. PMID 6334363. S2CID 24278577.
- ^ a b Bailer UF, Price JC, Meltzer CC, Mathis CA, Frank GK, Weissfeld L, et al. (June 2004). "Altered 5-HT(2A) receptor binding after recovery from bulimia-type anorexia nervosa: relationships to harm avoidance and drive for thinness". Neuropsychopharmacology. 29 (6): 1143–1155. doi:10.1038/sj.npp.1300430. PMC 4301578. PMID 15054474.
- ^ Fujita M, Charney DS, Innis RB (October 2000). "Imaging serotonergic neurotransmission in depression: hippocampal pathophysiology may mirror global brain alterations". Biological Psychiatry. 48 (8): 801–812. doi:10.1016/s0006-3223(00)00960-4. PMID 11063976. S2CID 10348049.
- ^ Pinborg LH, Arfan H, Haugbol S, Kyvik KO, Hjelmborg JV, Svarer C, et al. (April 2008). "The 5-HT2A receptor binding pattern in the human brain is strongly genetically determined". NeuroImage. 40 (3): 1175–1180. doi:10.1016/j.neuroimage.2007.09.019. PMID 18291676. S2CID 9105318.
- ^ Biver F, Lotstra F, Monclus M, Wikler D, Damhaut P, Mendlewicz J, Goldman S (February 1996). "Sex difference in 5HT2 receptor in the living human brain". Neuroscience Letters. 204 (1–2): 25–28. doi:10.1016/0304-3940(96)12307-7. PMID 8929969. S2CID 43416706.
- ^ Erritzoe D, Frokjaer VG, Haugbol S, Marner L, Svarer C, Holst K, et al. (May 2009). "Brain serotonin 2A receptor binding: relations to body mass index, tobacco and alcohol use". NeuroImage. 46 (1): 23–30. doi:10.1016/j.neuroimage.2009.01.050. PMID 19457377. S2CID 26525667.
- ^ Frokjaer VG, Mortensen EL, Nielsen FA, Haugbol S, Pinborg LH, Adams KH, et al. (March 2008). "Frontolimbic serotonin 2A receptor binding in healthy subjects is associated with personality risk factors for affective disorder". Biological Psychiatry. 63 (6): 569–576. doi:10.1016/j.biopsych.2007.07.009. PMID 17884017. S2CID 25979780.
- ^ Haugbøl S, Pinborg LH, Regeur L, Hansen ES, Bolwig TG, Nielsen FA, et al. (April 2007). "Cerebral 5-HT2A receptor binding is increased in patients with Tourette's syndrome". The International Journal of Neuropsychopharmacology. 10 (2): 245–252. doi:10.1017/S1461145706006559. PMID 16945163.
- ^ Adams KH, Hansen ES, Pinborg LH, Hasselbalch SG, Svarer C, Holm S, et al. (September 2005). "Patients with obsessive-compulsive disorder have increased 5-HT2A receptor binding in the caudate nuclei". The International Journal of Neuropsychopharmacology. 8 (3): 391–401. doi:10.1017/S1461145705005055. PMID 15801987.
- ^ Biver F, Wikler D, Lotstra F, Damhaut P, Goldman S, Mendlewicz J (November 1997). "Serotonin 5-HT2 receptor imaging in major depression: focal changes in orbito-insular cortex". The British Journal of Psychiatry. 171 (5): 444–448. doi:10.1192/bjp.171.5.444. PMID 9463603. S2CID 38577128.
- ^ Mintun MA, Sheline YI, Moerlein SM, Vlassenko AG, Huang Y, Snyder AZ (February 2004). "Decreased hippocampal 5-HT2A receptor binding in major depressive disorder: in vivo measurement with [18F]altanserin positron emission tomography". Biological Psychiatry. 55 (3): 217–224. doi:10.1016/j.biopsych.2003.08.015. PMID 14744461. S2CID 24849671.
- ^ Sheline YI, Mintun MA, Barch DM, Wilkins C, Snyder AZ, Moerlein SM (December 2004). "Decreased hippocampal 5-HT(2A) receptor binding in older depressed patients using [18F]altanserin positron emission tomography". Neuropsychopharmacology. 29 (12): 2235–2241. doi:10.1038/sj.npp.1300555. PMID 15367923. S2CID 1727523.
- ^ Soloff PH, Price JC, Meltzer CC, Fabio A, Frank GK, Kaye WH (September 2007). "5HT2A receptor binding is increased in borderline personality disorder". Biological Psychiatry. 62 (6): 580–587. doi:10.1016/j.biopsych.2006.10.022. PMID 17448449. S2CID 12109806.
- ^ Erritzoe D, Rasmussen H, Kristiansen KT, Frokjaer VG, Haugbol S, Pinborg L, et al. (September 2008). "Cortical and subcortical 5-HT2A receptor binding in neuroleptic-naive first-episode schizophrenic patients". Neuropsychopharmacology. 33 (10): 2435–2441. doi:10.1038/sj.npp.1301656. PMID 18288096. S2CID 7596368. Electronic publication ahead of print
- ^ Hurlemann R, Matusch A, Kuhn KU, Berning J, Elmenhorst D, Winz O, et al. (January 2008). "5-HT2A receptor density is decreased in the at-risk mental state". Psychopharmacology. 195 (4): 579–590. doi:10.1007/s00213-007-0921-x. PMID 17899021. S2CID 7784253.
- ^ Hurlemann R, Boy C, Meyer PT, Scherk H, Wagner M, Herzog H, et al. (December 2005). "Decreased prefrontal 5-HT2A receptor binding in subjects at enhanced risk for schizophrenia". Anatomy and Embryology. 210 (5–6): 519–523. doi:10.1007/s00429-005-0036-2. PMID 16187138. S2CID 4113675.
- ^ Rosier A, Dupont P, Peuskens J, Bormans G, Vandenberghe R, Maes M, et al. (November 1996). "Visualisation of loss of 5-HT2A receptors with age in healthy volunteers using [18F]altanserin and positron emission tomographic imaging". Psychiatry Research. 68 (1): 11–22. doi:10.1016/S0925-4927(96)02806-5. PMID 9027929. S2CID 32317795.
- ^ Meltzer CC, Smith G, Price JC, Reynolds CF, Mathis CA, Greer P, et al. (November 1998). "Reduced binding of [18F]altanserin to serotonin type 2A receptors in aging: persistence of effect after partial volume correction". Brain Research. 813 (1): 167–171. doi:10.1016/S0006-8993(98)00909-3. PMID 9824691. S2CID 21884218.
- ^ Adams KH, Pinborg LH, Svarer C, Hasselbalch SG, Holm S, Haugbøl S, et al. (March 2004). "A database of [(18)F]-altanserin binding to 5-HT(2A) receptors in normal volunteers: normative data and relationship to physiological and demographic variables". NeuroImage. 21 (3): 1105–1113. doi:10.1016/j.neuroimage.2003.10.046. PMID 15006678. S2CID 24403109.
- ^ Hasselbalch SG, Madsen K, Svarer C, Pinborg LH, Holm S, Paulson OB, et al. (December 2008). "Reduced 5-HT2A receptor binding in patients with mild cognitive impairment". Neurobiology of Aging. 29 (12): 1830–1838. doi:10.1016/j.neurobiolaging.2007.04.011. PMID 17544547. S2CID 23665678.
- ^ Meltzer CC, Price JC, Mathis CA, Greer PJ, Cantwell MN, Houck PR, et al. (December 1999). "PET imaging of serotonin type 2A receptors in late-life neuropsychiatric disorders". The American Journal of Psychiatry. 156 (12): 1871–1878. doi:10.1176/ajp.156.12.1871. PMID 10588399. S2CID 7678215.
- ^ EP0013612 idem Jan Vandenberk, Ludo Kennis, Marcel Van der Aa, Albert Van Heertum, U.S. patent 4,522,945 (1985 to Janssen Pharmaceutica N.V.).
- ^ Massarweh G, Kovacevic M, Rosa-Neto P, Evans AC, Diksic M, Schirrmacher R (November 2009). "Time-efficient and convenient synthesis of [(18)F]altanserin for human PET imaging by a new work-up procedure". Applied Radiation and Isotopes. 67 (11): 2040–2043. doi:10.1016/j.apradiso.2009.07.020. PMID 19692252.
- ^ Monclus M, Van Naemen J, Mulleneers E, Damhaut P, Luxen A, Goldman S (March 1998). "Automatic Synthesis of [(18)F]Altanserin, a Radiopharmaceutical for Positron Emission Tomographic Studies of the Serotonergic Type-2 Receptors". Clinical Positron Imaging. 1 (2): 111–116. doi:10.1016/s1095-0397(98)00005-3. hdl:2268/144402. PMID 14516599.
