Suritozole ATC code
5-(3-fluorophenyl)-2,4-dimethyl-2,4-dihydro-3H -1,2,4-triazole-3-thione
CAS Number PubChem CID ChemSpider UNII KEGG CompTox Dashboard (EPA ) Formula C 10 H 10 F N 3 S Molar mass 223.27 g·mol−1 3D model (JSmol)
Cn1c(=S)n(C)nc1-c2cccc(F)c2
InChI=1S/C10H10FN3S/c1-13-9(12-14(2)10(13)15)7-4-3-5-8(11)6-7/h3-6H,1-2H3
N Key:IWDUZEHNLHFBRZ-UHFFFAOYSA-N
N
N Y (what is this?) (verify)
Suritozole (MDL 26,479 ) is an investigational cognition enhancer . It acts as a partial inverse agonist at the benzodiazepine receptor site on the GABAA ion channel complex, but does not have either anxiogenic or convulsant effects, unlike other BZD inverse agonists such as DMCM .[ 1] It was investigated for the treatment of depression and Alzheimer's disease in the 90s,[ 2] but clinical development seems to have been discontinued.
Synthesis
Synthesis:[ 3] [ 4] ~85%:[ 5] Patents:[ 6] [ 7] etc
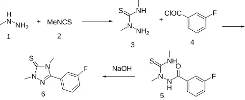
The reaction between monomethylhydrazine [60-34-4] (1 ) and methyl isothiocyanate (Trapex) [556-61-6] (2 ) gave 2,4-dimethylthiosemicarbazide [6621-75-6] (3 ). Amide formation with 3-fluorobenzoyl chloride [1711-07-5] (4 ) yielded 1-(3-fluorobenzoyl)-2,4-dimethylthiosemicarbazide [110623-52-4] (5 ). Cyclization to Suritozole (6 ).
See also
References
^ Miller JA, Dudley MW, Kehne JH, Sorensen SM, Kane JM (September 1992). "MDL 26,479: a potential cognition enhancer with benzodiazepine inverse agonist-like properties" . British Journal of Pharmacology . 107 (1): 78– 86. doi:10.1111/j.1476-5381.1992.tb14466.x . PMC 1907590 . PMID 1330168 .
^ Robbins DK, Hutcheson SJ, Miller TD, Green VI, Bhargava VO, Weir SJ (May 1997). "Pharmacokinetics of MDL 26479, a novel benzodiazepine inverse agonist, in normal volunteers". Biopharmaceutics & Drug Disposition . 18 (4): 325– 334. doi:10.1002/(SICI)1099-081X(199705)18:4<325::AID-BDD21>3.0.CO;2-1 . PMID 9158880 .
^ Miller JA, Dudley MW, Kehne JH, Sorensen SM, Wenstrup DL, Kane JM (1992). "MDL 26,479". Drugs of the Future . 17 (1): 21– 23. doi:10.1358/dof.1992.017.01.161263 .
^ Kane JM, Dudley MW, Sorensen SM, Miller FP (June 1988). "2,4-Dihydro-3H-1,2,4-triazole-3-thiones as potential antidepressant agents". Journal of Medicinal Chemistry . 31 (6): 1253– 1258. doi:10.1021/jm00401a031 . PMID 3373495 .
^ Louks DH, Stolz-Dunn SK (2007). "Kinetics for Scale-Up of a One-Pot Pathway to 5-(3-Fluorophenyl)-2,4-dihydro-2,4-dimethyl-3 H -1,2,4-triazole-3-thione Using a Hybrid Model of Parallel and Consecutive Reactions". Organic Process Research & Development . 11 (5): 877– 884. doi:10.1021/op700101g .
^ US5856350 idem Christopher Robin Dalton, John Michael Kane, John Herr Kehne, WO 1996033177 (1999 to Hoechst Marion Roussel, Inc.).
^ US5723624 idem Sandra K. Stolz-Dunn, David H. Louks, Yolanda M. Puga, Christian T. Goralski, WO 1996001812 (1998 to Merrell Pharmaceuticals Inc).
Ionotropic
GABAA Tooltip γ-Aminobutyric acid A receptor
Positive modulators (abridged; see here for a full list): α-EMTBL
Alcohols (e.g., drinking alcohol , 2M2B)
Anabolic steroids
Avermectins (e.g., ivermectin )
Barbiturates (e.g., phenobarbital )
Benzodiazepines (e.g., diazepam )
Bromide compounds (e.g., potassium bromide )
Carbamates (e.g., meprobamate )
Carbamazepine
Chloralose
Chlormezanone
Clomethiazole
Dihydroergolines (e.g., ergoloid (dihydroergotoxine) )
Etazepine
Etifoxine
Fenamates (e.g., mefenamic acid )
Flavonoids (e.g., apigenin, hispidulin)
Fluoxetine
Flupirtine
Imidazoles (e.g., etomidate )
Kava constituents (e.g., kavain)
Lanthanum
Loreclezole
Monastrol
Neuroactive steroids (e.g., allopregnanolone , cholesterol , THDOC )
Niacin
Niacinamide
Nonbenzodiazepines (e.g., β-carbolines (e.g., abecarnil ), cyclopyrrolones (e.g., zopiclone ), imidazopyridines (e.g., zolpidem ), pyrazolopyrimidines (e.g., zaleplon ))
Norfluoxetine
Petrichloral
Phenols (e.g., propofol )
Phenytoin
Piperidinediones (e.g., glutethimide )
Propanidid
Pyrazolopyridines (e.g., etazolate )
Quinazolinones (e.g., methaqualone )
Retigabine (ezogabine)
ROD-188
Skullcap constituents (e.g., baicalin)
Stiripentol
Sulfonylalkanes (e.g., sulfonmethane (sulfonal) )
Topiramate
Valerian constituents (e.g., valerenic acid )
Volatiles/gases (e.g., chloral hydrate , chloroform , diethyl ether , paraldehyde , sevoflurane )
Negative modulators: 1,3M1B
3M2B
11-Ketoprogesterone
17-Phenylandrostenol
α3IA
α5IA (LS-193,268)
β-CCB
β-CCE
β-CCM
β-CCP
β-EMGBL
Anabolic steroids
Amiloride
Anisatin
β-Lactams (e.g., penicillins , cephalosporins , carbapenems )
Basmisanil
Bemegride
Bicyclic phosphates (TBPS , TBPO, IPTBO)
BIDN
Bilobalide
Bupropion
CHEB
Chlorophenylsilatrane
Cicutoxin
Cloflubicyne
Cyclothiazide
DHEA
DHEA-S
Dieldrin
(+)-DMBB
DMCM
DMPC
EBOB
Etbicyphat
FG-7142 (ZK-31906)
Fiproles (e.g., fipronil)
Flavonoids (e.g., amentoflavone, oroxylin A)
Flumazenil
Fluoroquinolones (e.g., ciprofloxacin )
Flurothyl
Furosemide
Golexanolone
Iomazenil (123 I)
IPTBO
Isopregnanolone (sepranolone)
L-655,708
Laudanosine
Lindane
MaxiPost
Morphine
Morphine-3-glucuronide
MRK-016
Naloxone
Naltrexone
Nicardipine
Nonsteroidal antiandrogens (e.g., apalutamide , bicalutamide , enzalutamide , flutamide , nilutamide )
Oenanthotoxin
Pentylenetetrazol (pentetrazol)
Phenylsilatrane
Picrotoxin (i.e., picrotin , picrotoxinin and dihydropicrotoxinin)
Pregnenolone sulfate
Propybicyphat
PWZ-029
Radequinil
Ro 15-4513
Ro 19-4603
RO4882224
RO4938581
Sarmazenil
SCS
TB-21007
TBOB
TBPS
TCS-1105
Terbequinil
TETS
Thujone
U-93631
Zinc
ZK-93426
GABAA -ρ Tooltip γ-Aminobutyric acid A-rho receptor
Metabotropic
GABAB Tooltip γ-Aminobutyric acid B receptor
Negative modulators: Compound 14
See also
Receptor/signaling modulators
GABAA receptor positive modulators
GABA metabolism/transport modulators