Ranimustine
![]() | |
| Clinical data | |
|---|---|
| Trade names | Cymerin |
| Other names | 1-(2-chloroethyl)-1-nitroso-3-([(2R,3S,4S,5R,6S)-3,4,5-trihydroxy-6-methoxyoxan-2-yl]methyl)urea |
| AHFS/Drugs.com | International Drug Names |
| Routes of administration | IV |
| ATC code | |
| Legal status | |
| Legal status |
|
| Identifiers | |
IUPAC name
| |
| CAS Number | |
| PubChem CID | |
| ChemSpider | |
| UNII | |
| CompTox Dashboard (EPA) | |
| Chemical and physical data | |
| Formula | C10H18ClN3O7 |
| Molar mass | 327.72 g·mol−1 |
| 3D model (JSmol) | |
SMILES
| |
InChI
| |
| (verify) | |
Ranimustine (INN, marketed under the tradename Cymerin; also known as MCNU) is a nitrosourea alkylating agent approved in Japan for the treatment of chronic myelogenous leukemia[1] and polycythemia vera.[2]
It has never been filed for FDA evaluation in the United States, where it is not marketed.
Synthesis
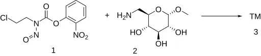
Ranimustine is made by reacting the primary amine of a pyranose sugar (2) with o-nitrophenyl N-(2-chloroethyl)-N-nitrosocarbamate (1) to form the nitrosourea group.[3] [4]
References
- ^ Kitajima K, Adachi T, Takahashi I, Nakada H, Osada K, Fukuda S, et al. (November 1989). "[Chemotherapy of chronic myelogenous leukemia--VP(M) regimen initiated during its chronic phase, and evaluation of MCNU in the phase of blastic crisis]". Gan to Kagaku Ryoho. Cancer & Chemotherapy (in Japanese). 16 (11): 3573–3579. PMID 2817908.
- ^ Nagai M, Tasaka T, Kamano H, Ohnishi H, Taoka T, Ikeda K, et al. (December 1988). "[Therapeutic effect of ranimustine (MCNU) on essential thrombocythemia and polycythemia vera]". Gan to Kagaku Ryoho. Cancer & Chemotherapy (in Japanese). 15 (12): 3267–3270. PMID 3196045.
- ^ US patent 4156777, Goro Kimura, "Process for producing glucopyranose-nitrosourea compounds and novel compounds included therein", issued 1979-05-29, assigned to Tokyo Tanabe Co Ltd
- ^ Sosnovsky G, Rao NU (July 1991). "In the search for new anticancer drugs. XXIII: Exploration of a predictive design for anticancer drugs of carbohydrates containing N-nitrosochloroethylamino, N-nitrosomethyl, and N-nitrosoaminoxyl components". Journal of Pharmaceutical Sciences. 80 (7): 693–699. doi:10.1002/jps.2600800717. PMID 1658297.
External links
- (in Japanese) Cymerin サイメリン (PDF) Mitsubishi Tanabe Pharma. October 2007.
.svg.png)
