Nifurzide
![]() | |
| Clinical data | |
|---|---|
| AHFS/Drugs.com | International Drug Names |
| ATC code | |
| Identifiers | |
IUPAC name
| |
| CAS Number | |
| PubChem CID | |
| ChemSpider | |
| UNII | |
| KEGG | |
| ECHA InfoCard | 100.049.735 |
| Chemical and physical data | |
| Formula | C12H8N4O6S |
| Molar mass | 336.28 g·mol−1 |
| 3D model (JSmol) | |
SMILES
| |
InChI
| |
| (verify) | |
Nifurzide is a nitrofuran derivative and intestinal anti-infectious agent active against Escherichia coli.[1]
Synthesis
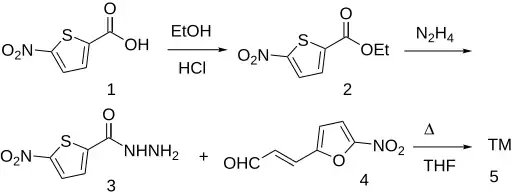
Esterification of 5-nitrothiophene-2-carboxylic acid (1) with ethanol gives the ester (2). Treatment with hydrazine forms its hydrazide (3). Nifurzide is the hydrazone formed between (3) and 5-nitrofuran-2-acrylaldehyde (4).[2][3][4]
References
- ^ Delsarte A, Faway M, Frère JM, Coyette J, Calberg-Bacq CM, Heinen E (March 1981). "Nifurzide, a nitrofuran antiinfectious agent: interaction with Escherichia coli cells". Antimicrobial Agents and Chemotherapy. 19 (3): 477–86. doi:10.1128/aac.19.3.477. PMC 181457. PMID 7018391.
- ^ US patent 3847911, Szarvasi E, Fontaine L, "Novel substituted(nitrofurylacrylidene)hydrazines with antibacterial properties", issued 1974-11-12
- ^ Szarvasi E, Fontaine L, Betbeder-Matibet A (March 1973). "Antimicrobials. New nitrofuran derivatives". Journal of Medicinal Chemistry. 16 (3): 281–287. doi:10.1021/jm00261a027. PMID 4200221.
- ^ "Nifurzide". Pharmaceutical Substances. Thieme. Retrieved 2024-07-02.

