Latamoxef
![]() | |
| Clinical data | |
|---|---|
| AHFS/Drugs.com | International Drug Names |
| Routes of administration | Intramuscular, intravenous |
| ATC code | |
| Pharmacokinetic data | |
| Protein binding | 35 to 50% |
| Metabolism | Nil |
| Elimination half-life | 2 hours |
| Excretion | Mostly renal, unchanged; also biliary |
| Identifiers | |
IUPAC name
| |
| CAS Number | |
| PubChem CID | |
| DrugBank | |
| ChemSpider | |
| UNII | |
| KEGG | |
| ChEBI | |
| ChEMBL | |
| CompTox Dashboard (EPA) | |
| ECHA InfoCard | 100.059.334 |
| Chemical and physical data | |
| Formula | C20H20N6O9S |
| Molar mass | 520.47 g·mol−1 |
| 3D model (JSmol) | |
| Melting point | 117 to 122 °C (243 to 252 °F) (dec.) |
SMILES
| |
InChI
| |
| | |
Latamoxef (or moxalactam) is an oxacephem antibiotic usually grouped with the cephalosporins. In oxacephems such as latamoxef, the sulfur atom of the cephalosporin core is replaced with an oxygen atom.
Latamoxef has been associated with prolonged bleeding time, and several cases of coagulopathy, some fatal, were reported during the 1980s.[1][2] Latamoxef is no longer available in the United States. As with other cephalosporins with a methylthiotetrazole side chain, latamoxef causes a disulfiram reaction when mixed with alcohol. Additionally, the methylthiotetrazole side chain inhibits γ-carboxylation of glutamic acid; this can interfere with the actions of vitamin K.
It has been described as a third-generation cephalosporin.[3]
Synthesis
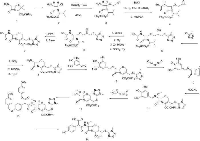
Oxa-substituted third generation cephalosporin antibiotic (oxacephalosporin).

The benzhydrol ester of 6-Aminopenicillanic acid (6-APA) is S-chlorinated and treated with base whereupon the intermediate sulfenyl chloride fragments (to 2). Next, displacement with propargyl alcohol in the presence of zinc chloride gives predominantly the stereochemistry represented by diastereoisomer 3. The side chain is protected as the phenylacetylamide; the triple bond is partially reduced with a 5% Pd-CaCO3 (Lindlar catalyst) and then epoxidized with mCPBA to give 4. The epoxide is opened at the least hindered end with 1-methyl-1H-tetrazole-5-thiol to put in place the future C-3 side chain and give intermediate 5. Jones oxidation followed in turn by ozonolysis (reductive work-up with zinc-AcOH) and reaction with SOCl2 and pyridine give halide 6. The stage is now wet for intramolecular Wittig reaction. Displacement with PPh3 and Wittig olefination gives 1-oxacephem 7. Next a sequence is undertaken of side chain exchange and introduction of a 7-methoxyl group analogous to that which is present in cephamycins and gives them the enhanced beta-lactamase stability. First 7 is converted to the imino chloride with PCl5 and then to the imino methyl ether (with methanol) and next hydrolyzed to the free amine (8). Imine formation with 3,5-di-t-butyl-4-hydroxybenzaldehyde is next carried out leading to 9. Oxidation with nickel(III) oxide gives iminoquinone methide 10, to which methanol is added in a conjugate sense and in the sterechemistry represented by formula 11. The imine is exchanged with Girard's reagent T to give 12, and this is acylated by a suitable protected arylmalonate, as the hemiester hemiacid chloride so as to give 11. Deblocking with aluminium chloride and anisole gives moxalactam 14.
References
- ^ Weitekamp MR, Aber RC (January 1983). "Prolonged bleeding times and bleeding diathesis associated with moxalactam administration". JAMA. 249 (1): 69–71. doi:10.1001/jama.249.1.69. PMID 6217353.
- ^ Brown RB, Klar J, Lemeshow S, Teres D, Pastides H, Sands M (November 1986). "Enhanced bleeding with cefoxitin or moxalactam. Statistical analysis within a defined population of 1493 patients". Archives of Internal Medicine. 146 (11): 2159–2164. doi:10.1001/archinte.146.11.2159. PMID 3778044.
- ^ Salem RR, McIndoe A, Matkin JA, Lidou AC, Clarke A, Wood CB (June 1987). "The hematologic effects of latamoxef sodium when used as a prophylaxis during surgical treatment". Surgery, Gynecology & Obstetrics. 164 (6): 525–529. PMID 3296254.
- ^ DE 2713370, Nagata W, Narisada M, "1-Oxadethiacephalosporine, Verfahren zu Arzneimittel [1-oxadethiacephalosporins, procedure for medicinal products]", published 1977-09-29, assigned to Shionogi & Co. Ltd.
- ^ US 4138486, Nagata W, Narisada M, issued 1979, assigned to Shionogi
- ^ Narisada M, Yoshida T, Onoue H, Ohtani M, Okada T, Tsuji T, et al. (July 1979). "Synthetic studies on β-lactam antibiotics. Part 10. Synthesis of 7β-[2-carboxy-2-(4-hydroxyphenyl)acetamido]-7.alpha.-methoxy-3-[[(1-methyl-1H-tetrazol-5-yl)thio]methyl]-1-oxa-1-dethia-3-cephem-4-carboxylic acid disodium salt (6059-S) and its related 1-oxacephems". Journal of Medicinal Chemistry. 22 (7): 757–759. doi:10.1021/jm00193a001. PMID 448673.
- ^ Otsuka H, Nagata W, Yoshioka M, Narisada M, Yoshida T, Harada Y, Yamada H (1981). "Discovery and development of Moxalactam (6059-S): the chemistry and biology of 1-oxacephems". Medicinal Research Reviews. 1 (3): 217–248. doi:10.1002/med.2610010302. PMID 6213825. S2CID 45623930.
- ^ Narisada M, Onoue H, Nagata W (1977). "Synthetic Studies on b-Lactam Antibiotics. Part 5. A Synthesis of 7b-Acylamino-3-methyl-1-oxadethia-3-cephem-4-carboxylic Acids". Heterocycles. 7 (2): 839. doi:10.3987/S-1977-02-0839.
