3-Chloromethcathinone
![]() | |
| Clinical data | |
|---|---|
| Other names | 3-CMC; Clophedrone; Metaclephedrone; 3-Cl-Methcathinone; PAL-434; PAL434 |
| ATC code |
|
| Legal status | |
| Legal status |
|
| Pharmacokinetic data | |
| Duration of action | 1–4 hours |
| Identifiers | |
IUPAC name
| |
| CAS Number |
|
| PubChem CID | |
| ChemSpider | |
| UNII | |
| ChEMBL | |
| CompTox Dashboard (EPA) | |
| Chemical and physical data | |
| Formula | C10H12ClNO |
| Molar mass | 197.66 g·mol−1 |
| 3D model (JSmol) | |
SMILES
| |
InChI
| |
3-Chloromethcathinone (3-CMC), also known as clophedrone, is a synthetic substance belonging to the cathinone class of psychoactive compounds. It is very similar in structure to other methcathinone derivatives such as 3-MMC and 4-CMC.[1][2] Unlike cathinone, which occurs naturally in the khat plant Catha edulis, 3-CMC is not found in nature and is solely produced through chemical synthesis.[2][3]
First detected in 2014, 3-CMC gained attention for its stimulating effects that are described to be similar to the effects of mephedrone and, to a lesser extent, those of MDMA and cocaine.[2] 3-CMC has been sold online as a designer drug mainly in European countries such as Germany, Poland, the Netherlands, and Sweden.[4][5][6] It is a controlled substance in many countries.[2]
Use
Recreational
The perceived effects are said to resemble those of 3-MMC, users report reduced effects and a shorter duration in comparison.[1] Effects include stimulation, euphoria, and increased confidence, libido, and sociability. It can be administered orally or through nasal insufflation.[1][2]
The acute effects of 3-CMC last 1 to 4 hours, depending on the administration method. After effects, like difficulty sleeping, can last 3 to 12 hours longer.[1]
Availability
3-CMC has been available in Europe since 2014.[2] According to the European Monitoring Centre for Drugs and Drug Addiction (EMCDDA) it has been detected in 25 European countries with the majority of drug seizures in Poland and the largest quantities in the Netherlands.[2] The amount of 3-CMC seized in Europe has increased yearly from 2014 to 2021 indicating an increase in production and availability.[2] Large seizures of 3-CMC by customs are reported to originate from India.[2]
Adverse effects
There are limited amounts of research available on the effects of 3-CMC. The effects are likely comparable to those of other cathinones of which it is known exposure can result in symptoms such as tachycardia, hypertension, and episodes of psychosis.[2] Users also report other side effects including an increase in body temperature, sweating, anxiety, and dry mouth.[1]
Toxicity
Information on the toxicity of 3-CMC is scarce, with only exploratory cytotoxicity studies conducted.[2][7] Between November 2019 and June 2021, the EMCDDA reported ten deaths linked to 3-CMC exposure in Poland (7 cases) and Sweden (3 cases).[2] Other substances were found in six cases, with alcohol being the only additional substance in two cases.[2] Causes of death included multi-organ trauma caused by a traffic accident, toxic effects of 3-CMC, and intoxication with various substances.[2] Details such as dosage and administration routes are lacking.
Chemistry
The chemical name of 3-chloromethcathinone (3-CMC) is 1-(3-chlorophenyl)-2-(methylamino)-1-propanone. It is a N-alkylated and ring-substituted cathinone derivative. The drug is the analogue of bupropion in which its N-tert-butyl group has been replaced with an N-methyl group.[8][9] Another related compound is 3-chlorocathinone (3-CC).[8][9]
Isomers
3-CMC is a chloromethcathinone, which has two other positional isomers, namely 2-CMC and 4-CMC.[2] These differ in the position of the chlorine atom on the phenyl ring. As well as 3-CMC, these molecules are both known designer drugs.
Since 3-CMC contains a chiral center, there are two enantiomers, namely (S)-3-CMC and (R)-3-CMC. The products are most likely on the market as a racemic mixture of the two enantiomers, since separation would result in very high costs.[2]
Synthesis
3-CMC is commonly synthesized starting from 3-chloropropiophenone.[2]
3-chloropropiophenone is subjected to alpha halogenation using bromine. Subsequently, methylamine acts as a nucleophile and displaces bromide in a nucleophilic substitution to form a racemic product. Cathinones are usually unstable as a freebase, so the product is often treated with HCl or HBr to form a hydrochloride or hydrobromide salt, respectively.[2]

Synthesis of 3-chloromethcathinone reaction scheme
Pharmacology
Pharmacodynamics
| Transporter | EC50 [nM][10] | IC50 [nM][11] |
|---|---|---|
| SERT | 211 | 1194 |
| NET | 19 | 290 |
| DAT | 26 | 342 |
The pharmacology of 3-CMC is expected to be very similar to the pharmacology for other mephedrone analogs (methcathinones).[10] These molecules interact with monoamine transporters, in particular the dopamine transporter (DAT), norepinephrine transporter (NET), and serotonin transporter (SERT). The main function of these transporters is to terminate monoamine transmission by reuptake of the released neurotransmitters. Interaction of psychoactive drugs with the monoamine transporters inhibits this reuptake leading to an increase in the concentration of dopamine, norepinephrine and serotonin in the synaptic cleft.[12]
Additionally 3-CMC and other mephedrone analogs are monoamine releasing agents (MRAs). They are transported into the cytoplasm of the nerve terminal through the monoamine transporters where they increase in the release of monoamine neurotransmitters. Releasers are thought to be more effective at raising monoamine levels since they enhance the pool of neurotransmitters available for release.[12][13]
Psychostimulants differ in their relative affinity for DAT, SERT and NET. In a study done on brain cells of male rats 3-CMC was found to interact on a relatively similar level with DAT and NET as mephedrone, while it interacts significantly less with SERT.[10] Another study done on male rats also concludes that 3-CMC causes more release of dopamine in proportion to serotonin whereas mephedrone releases relatively more serotonin.[13]
3-CMC produces hyperlocomotion, a psychostimulant-like effect, in rodents.[14] It substitutes for cocaine in drug discrimination tests in monkeys.[15] The drug is less potent in substituting for cocaine than methcathinone, which has been theorized to be due to its greater capacity to induce serotonin release and to thereby inhibit its own reinforcing effects.[15]
Pharmacokinetics
Cathinones are typically metabolized in the body through processes such as oxidation, reduction, hydrolysis, and conjugation reactions, primarily occurring in the liver.
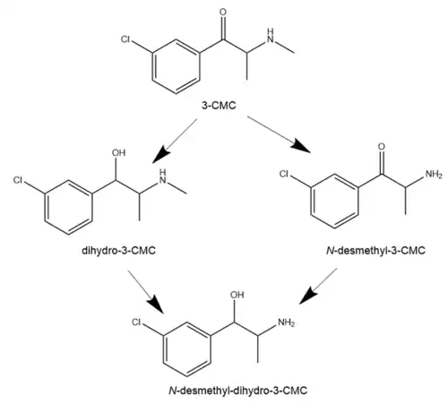
There is still limited information about the metabolism of 3-CMC in humans or animals, as it has not been extensively studied. However, a mechanism has been proposed for the biotransformation processes of 3-CMC based on the metabolism of structurally similar cathinones, which involves the formation of several metabolites, including dihydro-3-CMC, N-desmethyl-3-CMC, and N-desmethyl-dihydro-3-CMC.[16][17]
Legal status
As of March 2022, the European Commission has taken new measures to control the psychoactive substance of 3-CMC. This decision is based on a risk assessment conducted by the EU Drugs Agency (EMCDDA) in November 2021.[18]
Since 3-CMC was prohibited in China (October 2015),[19] it was found that most of the production was manufactured in India and little of the substance supply originates from inside Europe.[18]
Several European countries were ahead of the European Commission report by (generically) controlling the substance. Nowadays, in almost all countries 3-CMC is prohibited.[2]
See also
- 3-Chloro-N-cyclopropylcathinone (3Cl-CpC; PAL-433, RTI-6037-39)
- 3-Fluoromethcathinone
- 3-Fluoromethamphetamine
- 3-Methylmethcathinone
- 3-Chloromethamphetamine
- 4-Chloromethcathinone
- 5-Cl-bk-MPA
- Substituted cathinone
References
- ^ a b c d e "Stimulerend / uppers". Jellinek (in Dutch). Retrieved 2024-03-07.
- ^ a b c d e f g h i j k l m n o p q r s Christie R, Duque P, Evans-Brown M, Gallegos A, Jorge R, De Morais J, et al. (26 August 2022). "EMCDDA initial report on the new psychoactive substance 1-(3-chlorophenyl)-2-(methylamino) propan-1-one (3-chloromethcathinone, 3-CMC)".
- ^ Odoardi S, Romolo FS, Strano-Rossi S (August 2016). "A snapshot on NPS in Italy: Distribution of drugs in seized materials analysed in an Italian forensic laboratory in the period 2013-2015". Forensic Science International. 265: 116–120. doi:10.1016/j.forsciint.2016.01.037. hdl:10446/145558. PMID 26874736.
- ^ Advisory Council on the Misuse of Drugs (31 March 2010). "Consideration of the cathinones". Archived from the original on 8 December 2010.
- ^ Błażewicz A, Bednarek E, Popławska M, Olech N, Sitkowski J, Kozerski L (July 2019). "Identification and structural characterization of synthetic cathinones: N-propylcathinone, 2,4-dimethylmethcathinone, 2,4-dimethylethcathinone, 2,4-dimethyl-α-pyrrolidinopropiophenone, 4-bromo-α-pyrrolidinopropiophenone, 1-(2,3-dihydro-1H-inden-5-yl)-2-(pyrrolidin-1-yl)hexan-1-one and 2,4-dimethylisocathinone". Forensic Toxicology. 37 (2): 288–307. doi:10.1007/s11419-018-00463-w. ISSN 1860-8965.
- ^ Killeen N, McNamara S, Stokes S, Keenan E (2023). "SAFER NIGHTLIFE PROGRAMME 2022 Results from 'back of house' drug testing". HSE Social Inclusion.
- ^ Wojcieszak J, Kuczyńska K, Zawilska JB (August 2020). "Four Synthetic Cathinones: 3-Chloromethcathinone, 4-Chloromethcathinone, 4-Fluoro-α-Pyrrolidinopentiophenone, and 4-Methoxy-α-Pyrrolidinopentiophenone Produce Changes in the Spontaneous Locomotor Activity and Motor Performance in Mice with Varied Profiles". Neurotoxicity Research. 38 (2): 536–551. doi:10.1007/s12640-020-00227-8. PMC 7334283. PMID 32506339.
- ^ a b Shalabi AR, Walther D, Baumann MH, Glennon RA (June 2017). "Deconstructed Analogues of Bupropion Reveal Structural Requirements for Transporter Inhibition versus Substrate-Induced Neurotransmitter Release". ACS Chem Neurosci. 8 (6): 1397–1403. doi:10.1021/acschemneuro.7b00055. PMC 7261150. PMID 28220701.
- ^ a b Shalabi AR (14 December 2017). Structure-Activity Relationship Studies of Bupropion and Related 3-Substituted Methcathinone Analogues at Monoamine Transporters. VCU Scholars Compass (Thesis). doi:10.25772/M4E1-3549. Retrieved 24 November 2024.
- ^ a b c Walther D, Shalabi AR, Baumann MH, Glennon RA (January 2019). "Systematic Structure-Activity Studies on Selected 2-, 3-, and 4-Monosubstituted Synthetic Methcathinone Analogs as Monoamine Transporter Releasing Agents". ACS Chemical Neuroscience. 10 (1): 740–745. doi:10.1021/acschemneuro.8b00524. PMC 8269283. PMID 30354055.
- ^ Shalabi (2017). "Deconstructed analogues of bupropion reveal structural requirements for transporter inhibition versus substrate-induced neurotransmitter release". ACS Chemical Neuroscience. doi:10.1021/acschemneuro.7b00055. PMC 7261150. PMID 28220701.
- ^ a b Howell LL, Negus SS (2014). "Monoamine Transporter Inhibitors and Substrates as Treatments for Stimulant Abuse". Emerging Targets & Therapeutics in the Treatment of Psychostimulant Abuse. Advances in Pharmacology (San Diego, Calif.). Vol. 69. pp. 129–176. doi:10.1016/B978-0-12-420118-7.00004-4. ISBN 978-0-12-420118-7. ISSN 1054-3589. PMC 4406244. PMID 24484977.
- ^ a b Blough BE, Decker AM, Landavazo A, Namjoshi OA, Partilla JS, Baumann MH, et al. (March 2019). "The dopamine, serotonin and norepinephrine releasing activities of a series of methcathinone analogs in male rat brain synaptosomes". Psychopharmacology. 236 (3): 915–924. doi:10.1007/s00213-018-5063-9. PMC 6475490. PMID 30341459.
- ^ Wojcieszak J, Kuczyńska K, Zawilska JB (August 2020). "Four Synthetic Cathinones: 3-Chloromethcathinone, 4-Chloromethcathinone, 4-Fluoro-α-Pyrrolidinopentiophenone, and 4-Methoxy-α-Pyrrolidinopentiophenone Produce Changes in the Spontaneous Locomotor Activity and Motor Performance in Mice with Varied Profiles". Neurotox Res. 38 (2): 536–551. doi:10.1007/s12640-020-00227-8. PMC 7334283. PMID 32506339.
- ^ a b Kohut SJ, Fivel PA, Blough BE, Rothman RB, Mello NK (October 2013). "Effects of methcathinone and 3-Cl-methcathinone (PAL-434) in cocaine discrimination or self-administration in rhesus monkeys". Int J Neuropsychopharmacol. 16 (9): 1985–1998. doi:10.1017/S146114571300059X. PMID 23768644.
- ^ Romańczuk A, Rojek S, Synowiec K, Maciów-Głąb M, Kula K, Rzepecka-Woźniak E (May 2023). "The Stability of Synthetic Cathinones and the Study of Potential Intake Biomarkers in the Biological Material from a Case of 3-CMC Poisoning". Journal of Analytical Toxicology. 47 (5): 470–480. doi:10.1093/jat/bkad010. PMC 10373627. PMID 36790096.
- ^ WHO WH (16–20 October 2023). "Critical review report: 3-Chloromethcathinone". Expert Committee on Drug Dependence.
- ^ a b "European Commission adopts measures to control two harmful new drugs amidst health concerns and surge in supply | www.emcdda.europa.eu". www.emcdda.europa.eu. Retrieved 2024-03-07.
- ^ "关于印发《非药用类麻醉药品和精神药品列管办法》的通知". Archived from the original on 2015-10-01. Retrieved 2024-03-07.

